Top.Mail.Ru
nsk@dia-m.ru 8 (800) 234-05-08
+7 (383) 328-00-48
Ваш регион Москва?

Химические реактивы - буква «д»

Доступность
  • На складе
  • В транзите
  • В транзите и на складе
  • Все товары
078745.1 gm
1 г
11 959 руб.
153,= USD


CAS-No. 1898-66-4
Химическая формула C₁₈H₁₂N₅O₆
Молекулярная масса, г/моль 394,32
Внешний вид Кристаллический порошок от темно-зеленого до тёмно-фиолетового, черного цвета
Содержание основного вещества, % 95
Диапазон плавления, °С 133-135
Россия
2,4-Динитрофенол, CAS 51-28-5, (чда)
050202-0,01
10 г
491 руб.
491 руб. RUB
050202-0,05
50 г
1 663 руб.
1 663 руб. RUB

2,4-Динитрофенол (2,4-DNP) — это органическое соединение из класса нитрофенолов, представляющее собой производное фенола с двумя нитрогруппами, расположенными в положениях 2 и 4 бензольного кольца.

Основные характеристики

  • Химическая формула: C₆H₄N₂O₅.
  • Внешний вид: жёлтые кристаллы или порошок.
  • Растворимость: умеренно растворим в воде, хорошо — в органических растворителях.
  • Кислотные свойства: слабая кислота (обусловлены фенольной группой).

Свойства и особенности

2,4-динитрофенол обладает выраженными химическими и биологическими свойствами благодаря наличию нитрогрупп. Он способен нарушать процессы переноса протонов через мембраны, что лежит в основе его биологического действия.

Биологическое действие

Соединение известно как разобщитель окислительного фосфорилирования: оно нарушает синтез АТФ в митохондриях, что приводит к усиленному выделению энергии в виде тепла. В результате резко возрастает метаболизм клеток.

Области применения

  • В химическом синтезе как промежуточное соединение;
  • в научных исследованиях для изучения энергетического обмена клеток;
  • исторически применялся в промышленности (например, при производстве красителей и взрывчатых веществ).

Опасность и ограничения

2,4-динитрофенол является высокотоксичным веществом. Его воздействие может вызывать:

  • перегрев организма (гипертермию);
  • нарушение обмена веществ;
  • поражение органов и систем.


CAS-No. 51-28-5
Химическая формула C₆H₄N₂O₅
Внешний вид Желтый порошок кристаллического типа или кристаллы желтого цвета
pH переход окраски от бесцветной к желтой 2,8-4,4
Температура плавления, °C (в интервале 1 °C) 111-114
Массовая доля воды, %, не более 1,0
Массовая доля остатка после прокаливания (в виде сульфатов), %, не более 0,1
Массовая доля нерастворимых в этиловом спирте веществ, %, не более 0,2
ГОСТ ТУ 6-09-1883-86

Индекс безопасности

Индекс безопасности (S)
H301, H311, H331, H373, H400

Символы опасности

Символы опасности
Токсичный
CDH, Индия
D-(+)-Декстроза (Глюкоза), CAS 50-99-7, 99,5% Plant Culture Tested
PCT1603.1 kg
1 кг
1 208 руб.
15,= USD


CAS-No. 50-99-7
Химическая формула C6H12O6
Молекулярная масса, г/моль 180,16
Внешний вид Белый кристаллический порошок
Содержание основного вещества, % 99,00
Растворимость Растворим в воде
Точка плавления 150-152°C
Хлориды,% <= 0,0125
Сульфаты, % <= 0,02
Вода (K.F), % <= 1,0
050159-0,05
0,05 кг
5 300 руб.
5 300 руб. RUB
Синонимы: 4-Амино-N,N-диметиланилин дигидрохлорид, N,N-диметил-n-фенилендиамин дигидрохлорид, диметилпарафенилендиамин солянокислый, Dimethyl-n-phenylenediamine dihydrochloride-N,N,N,N-dimethyl-n-phenylenediamine dihydrochloride, dimethylparaphenylenediamine hydrochloride, DMPD×2HCl, DMPPDA ×2HCl.


CAS-No. 536-46-9
Химическая формула C8H12N2
Молекулярный вес, г/моль 209.12
Внешний вид мелкокристаллический порошок белого, жёлтого, розового или зеленовато-серого цвета, темнеющий на воздухе
Содержание основного вещества , % не менее 99,5
Остаток после прокаливания, % не более 0,1

Индекс опасности

Индекс опасности (H)
H301+ H311+ H331, H351, H411

Индекс предупреждения

Индекс предупреждения (P)
P202, P273, P280, P301 + P310, P302 + P352 + P312, P304 + P340 + P311

Символы опасности

Символы опасности
токсичный, опасный для здоровья, опасный для окружающей среды
CDH, Индия
Глюкоза безводная, CAS 50-99-7, AR, IP, BP, USP, Ph. Eur, (аналоги: арт. LC-5938.1, арт. 1179GR500, neoFroxx)
506250.500 gm
500 г
695 руб.
9,= USD
506250.5 kg
5 кг
4 161 руб.
53,= USD
506250.25 kg
25 кг
13 125 руб.
168,= USD


Синонимы: декстроза.
CAS-No. 50-99-7
Химическая формула C₆H₁₂O₆
Молекулярная масса, г/моль 180,16
Внешний вид Белый кристаллический порошок
Содержание основного вещества, % 99,0
Специфическое вращение α20°C/D 52,5 – 53,0
Хлориды, % 0,0025
Сульфаты, % 0,0025
Сульфиты, % 0,0005
Мышьяк, % 0,0001
Медь, % 0,0001
Кальций, % 0,02
Железо, % 0,0001
Свинец, % 0,00005
CDH, Индия
ДАПИ, 99%, CAS 28718-90-3, для молекулярной биологии, (аналог арт. 1322MG005, neoFroxx)
923800.10 mg
10 мг
NEW
6 116 руб.
78,= USD
923800.25 mg
25 мг
NEW
12 134 руб.
155,= USD


Синонимы: 4',6-диамидин-2-фенилиндол дигидрохлорид.
CAS-No. 28718-90-3
Химическая формула C₁₆H₁₅N₅ × 2HCl
Молекулярный вес, г/моль 350,25
Содержание основного вещества, % не менее 95
Температура хранения, °C 2-8
neoFroxx
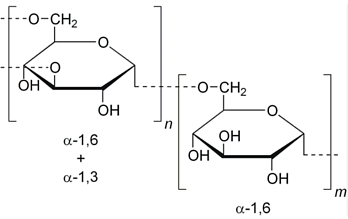
Декстран 70000, CAS 9004-54-0, Ph. Eur.
LC-10033.2
1 кг


CAS-No. 9004-54-0
Химическая формула (C₆H₁₀O₅)n
Молекулярный вес, г/моль ~70000
Потери при сушке (5 ч, 105°C), % не более 7
Бактериальные эндотоксины, ед/г не более 16
Сульфатная зола, % не более 0,3
Азотсодержащие соединения, % не более 0,0110
Молекулярная масса (10 % низкая фракция) не менее 15000
Молекулярная масса (10 % высокая фракция) не более 185000
Условия хранения ниже 25 °C

Индекс безопасности

Индекс безопасности (S)
7/8
063815.500 gm
500 г
1 759 руб.
23,= USD


CAS-No. 9004-53-9
Химическая формула (C₁₆H₁₀O₅)×H₂O
Внешний вид Белый порошок
Потери при высыхании (при 100 °C), % 5,0
Декстроза, % 0,4
Тест для бактериологического использования Проходит
MP Biomedicals
Детергент 7X, для ручной мойки стекла и пластика, 3,785 л x 4 (1 галлон x 4 )
097667094
3,7 л
31 500 руб.
31 500 руб. RUB


Внешний вид Мутная жидкость
Растворимость 7X полностью растворяется в воде при любой концентрации.
pH 6,0-7,5
Условия хранения комнатная температура
.

Индекс риска

R36Вызывает раздражение глаз
Индекс риска (R)
36

Индекс опасности

H302Вредно при проглатывании
H319Вызывает серьёзное раздражение глаз
Индекс опасности (H)
H302-H319

Символы опасности

Символы опасности
Острая токсичность
MP Biomedicals
Детергент 7X ES, для ручной мойки стекла и пластика, без фосфатов, 3,785 л (1 галлон), 5%
097668093
3,7 л
Состав: вода (>25%), натрия тетрафосфат Na₆O₁₃P₄ (5 - 10%), эфир гликоля (5 - 10%), диоктил сульфосукцинат натрия (1 - 5%)



Внешний вид голубоватая полупрозрачная жидкость с консистенцией жидкого мыла
рН раствора 6,0 – 7,5
Условия хранения комнатная температура
Рабочая концентрация 1% раствор
Концентрация при сильном загрязнении 3 – 5%

Индекс риска

R36Вызывает раздражение глаз
Индекс риска (R)
36
MP Biomedicals
Детергент 7X ES, для ручной мойки стекла и пластика, без фосфатов, 3,785 л (1 галон)
097668193
3,7 л
Состав: вода (>25%), пентаметилен фосфонат гептанатрий C₉H₂₁N₃O₁₅P₅.₇Na (10-25%), эфир гликоля (1-5%), диоктил сульфосукцинат натрия (1-5%).



Внешний вид коричневатая или серо-желтоватая жидкость с консистенцией жидкого мыла
рН раствора 7,0 – 8,0
Условия хранения комнатная температура
Рабочая концентрация 1% раствор
Концентрация при сильном загрязнении 3 – 5%

Индекс риска

R36Вызывает раздражение глаз
Индекс риска (R)
36
MP Biomedicals
Детергент 7X ES, для ручной мойки стекла и пластика, без фосфатов, 18,925 л (5 галлонов)
097667195
18,9 л
Состав: вода (>25%), пентаметилен фосфонат гептанатрий C₉H₂₁N₃O₁₅P₅.₇Na (10-25%), эфир гликоля (1-5%), диоктил сульфосукцинат натрия (1-5%).



Внешний вид: коричневатая или серо-желтоватая жидкость с консистенцией жидкого мыла
рН раствора 7,0 – 8,0
Условия хранения комнатная температура
Рабочая концентрация 1% раствор
Концентрация при сильном загрязнении 3 – 5%

Индекс риска

R36Вызывает раздражение глаз
Индекс риска (R)
36
MP Biomedicals
Детергент 7X ES, для ручной мойки стекла и пластика, без фосфатов
097667193
3,7 л
097667194
4х3,7 л
34 300 руб.
34 300 руб. RUB
Состав: вода (>25%), пентаметилен фосфонат гептанатрий C₉H₂₁N₃O₁₅P₅.₇Na (10-25%), эфир гликоля (1-5%), диоктил сульфосукцинат натрия (1-5%).



Внешний вид коричневатая или серо-желтоватая жидкость с консистенцией жидкого мыла
рН раствора 7-8
Условия хранения комнатная температура
Рабочая концентрация 1% раствор
Концентрация при сильном загрязнении 3 – 5%

Индекс риска

R36Вызывает раздражение глаз
Индекс риска (R)
36
MP Biomedicals
Детергент 7X ES O-Matic, для автоматической мойки стекла и пластика, 3,785 л (1 галлон), 5%
097668593
3,7 л
Состав: вода (>25%), ксилол сульфонат натрия (10-25%), пентаметилен фосфонат гептанатрий C9H21N3O15P5.7Na (5-10%), метилоксиран –полимер с активным кислородом (5-10%), этилен гликоль (1-5%), 2,4,7,9-тетраметил-5-децин-4,7-диол (1-5%).



Внешний вид прозрачный, тёмно-желтый раствор
рН раствора 7-8
Условия хранения комнатная температура
Рабочая концентрация 1% раствор
Концентрация при сильном загрязнении 3 – 5%

Индекс риска

R36Вызывает раздражение глаз
Индекс риска (R)
36
MP Biomedicals
Детергент 7X ES O-Matic, для автоматической мойки стекла и пластика, 18,9 л (5 галлонов)
097667595
18,9 л
Состав: вода (>25%), ксилол сульфонат натрия (10-25%), пентаметилен фосфонат гептанатрий C₉H₂₁N₃O₁₅P₅.₇Na (5-10%), метилоксиран –полимер с активным кислородом (5-10%), этилен гликоль (1-5%), 2,4,7,9-тетраметил-5-децин-4,7-диол (1-5%).



Внешний вид: прозрачный, тёмно-желтый раствор
рН раствора 7-8
Условия хранения комнатная температура
Рабочая концентрация 1% раствор
Концентрация при сильном загрязнении 3-5%

Индекс риска

R36Вызывает раздражение глаз
Индекс риска (R)
36
MP Biomedicals
Детергент 7X ES O-Matic, для автоматической мойки стекла и пластика, 3,785 л (1 галлон)
097667593
3,7 л
Состав: вода (>25%), ксилол сульфонат натрия (10-25%), пентаметилен фосфонат гептанатрий C₉H₂₁N₃O₁₅P₅.₇Na (5-10%), метилоксиран –полимер с активным кислородом (5-10%), этилен гликоль (1-5%), 2,4,7,9-тетраметил-5-децин-4,7-диол (1-5%).



Внешний вид: прозрачный, тёмно-желтый раствор
рН раствора 7-8
Условия хранения комнатная температура
Рабочая концентрация 1% раствор
Концентрация при сильном загрязнении 3 – 5%

Индекс риска

R36Вызывает раздражение глаз
Индекс риска (R)
36
MP Biomedicals
Детергент 7X O-Matic, для автоматической мойки стекла и пластика, 3,785 л (1 галлон), 5%
097668493
3,7 л
Состав: вода (>25%), ксилол сульфонат натрия (10-25%), тетракалия пирофосфат K₄P₂O₇ (10-25%) метилоксиран –полимер с активным кислородом (10-25%) этилен гликоль (1-5%), 2,4,7,9
тетраметил-5-децин-4,7-диол (1-5%)



Внешний вид прозрачная, светло-желтая жидкость с консистенцией жидкого мыла
рН раствора 9,0 – 11,0
Условия хранения комнатная температура
Рабочая концентрация 1% раствор
Концентрация при сильном загрязнении 3 – 5%

Индекс риска

R36Вызывает раздражение глаз
Индекс риска (R)
36
MP Biomedicals
Детергент 7X O-Matic, низкдля автоматической мойки стекла и пластика, 18,925 л (5 галлонов), низкое пенообразование
097667495
18,9 л
Состав: вода (>25%), ксилол сульфонат натрия (10-25%), тетракалия пирофосфат K₄P₂O₇ (10-25%) метилоксиран –полимер с активным кислородом (10-25%) этилен гликоль (1-5%), 2,4,7,9
тетраметил-5-децин-4,7-диол (1-5%)



Внешний вид прозрачная, светло-желтая жидкость с консистенцией жидкого мыла
рН раствора 9,0 – 11,0
Условия хранения комнатная температура
Рабочая концентрация 1% раствор
Концентрация при сильном загрязнении 3 – 5%

Индекс риска

R36Вызывает раздражение глаз
Индекс риска (R)
36
MP Biomedicals
Детергент 7X O-Matic, для автоматической мойки стекла и пластика, 3,785 л (1 галлон)
097667493
3,7 л
Состав: вода (>25%), ксилол сульфонат натрия (10-25%), тетракалия пирофосфат K₄P₂O₇ (10-25%) метилоксиран –полимер с активным кислородом (10-25%) этилен гликоль (1-5%), 2,4,7,9
тетраметил-5-децин-4,7-диол (1-5%)



Внешний вид прозрачная светло-желтая жидкость с консистенцией жидкого мыла
рН раствора 9-11
Условия хранения комнатная температура
Рабочая концентрация 1% раствор
Концентрация при сильном загрязнении 3 – 5%

Индекс риска

R36Вызывает раздражение глаз
Индекс риска (R)
36
MP Biomedicals
Детергент 7X Regular, для ручной мойки стекла и пластика, содержит фосфаты, 18,925 л (5 галлонов)
097667095
18,9 л
Состав: вода (>25%), натрия тетрафосфат Na₆O₁₃P₄ (5 - 10%), эфир гликоля (5 - 10%), диоктил сульфосукцинат натрия (1 - 5%)



Внешний вид голубоватая полупрозрачная жидкость с консистенцией жидкого мыла
рН раствора 6,0 – 7,5
Условия хранения комнатная температура
Рабочая концентрация 1% раствор
Концентрация при сильном загрязнении 3 – 5%

Индекс риска

R36Вызывает раздражение глаз
Индекс риска (R)
36
MP Biomedicals
Детергент 7X Regular, для ручной мойки стекла и пластика, содержит фосфаты, 3,785 л (1 галлон)
097667093уп
3,7 л
12 500 руб.
160,= USD
Состав: вода (>25%), натрия тетрафосфат Na₆O₁₃P₄ (5 - 10%), эфир гликоля (5 - 10%), диоктил сульфосукцинат натрия (1 - 5%)



Внешний вид голубоватая полупрозрачная жидкость с консистенцией жидкого мыла
рН раствора 6,0 – 7,5
Условия хранения комнатная температура
Рабочая концентрация 1% раствор
Концентрация при сильном загрязнении 3 – 5%

Индекс риска

R36Вызывает раздражение глаз
Индекс риска (R)
36
CDH, Индия
Детергент Nonidet P-40, CAS 9016-45-9, для молекулярной биологии, (аналог арт. MB143, neoFroxx)
970195.100 ml
100 мл
NEW
1 286 руб.
16,= USD
970195.500 ml
500 мл
NEW
5 841 руб.
75,= USD


Синоним: Нонидет P 40, NP-40,4-нонилфенил.
CAS-No. 9016-45-9
Содержание основного вещества, % Не менее 99,8
Внешний вид Бесцветная вязкая жидкость
Растворимость Растворим в воде
рН (1% в воде при 250 °C) Не более 5,0-8,0

Символы опасности

Символы опасности
Опасно, опасно для окружающей среды
Импорт
Диацетилмоноксим, CAS 57-71-6, 98%
U57716.0025
25 г
U57716.0100
100 г
U57716.0500
500 г


CAS-No. 57-71-6
Химическая формула C₄H₇NO₂
Молярный вес, г/моль 101,10
Внешний вид беловатый или кремовый порошок
Содержание основного вещества, % 98
Температура плавления 74 - 75 °С
Потери при сушке,% не более 2
Условия хранения комнатная температура

Индекс безопасности

S22Не вдыхать пыль
S24/25Избегать попадания на кожу и в глаза
Индекс безопасности (S)
22-24/25
D5930302.0050ф
50 г
D5930302.0100ф
100 г


Химическая формула C₂₀H₁₀Br₂O₅
Молекулярный вес 490,12
Внешний вид порошок оранжевого цвета
Содержание основного вещества , % 99,5
Точка плавления, °С 273 – 276
Растворимость (10 мг/мл, 0,5 Н NH4OH) растворим
Условия хранения комнатная температура
Merck (Millipore, Sigma-Aldrich, Supelco)
Дибутилсебацинат, CAS 109-43-3, более 97% (GC)
84840-1L
1 л
18 572 руб.
1 610 CNY
84840-1Lду
1 л
25 598 руб.
282,= EUR
352,= EUR
Синонимы: Дибутиловый эфир декандиовой кислоты, Дибутиловый эфир себациновой кислоты


CAS-№ 109-43-3
Молекулярная формула [-(CH₂)₄CO₂(CH₂)₃CH₃]₂
Молярный вес, г/моль 314,46
Содержание основного вещества, % более 97
Внешний вид жидкость
Плотность, г/мл 0,936
Температура возгорания, °C 178
Россия
Диметил-n-фенилендиамин дигидрохлорид-N,N, CAS 536-46-9, для синтеза, чда
S536469.0100
100 г
Синонимы: 4-Амино-N,N-диметиланилин дигидрохлорид, N,N-диметил-n-фенилендиамин дигидрохлорид, диметилпарафенилендиамин солянокислый, Dimethyl-n-phenylenediamine dihydrochloride-N,N,N,N-dimethyl-n-phenylenediamine dihydrochloride, dimethylparaphenylenediamine hydrochloride, DMPD×2HCl, DMPPDA ×2HCl.


Химическая формула C₈H₁₂N₂x2HCl
Молекулярная масса 209,12
Cas No 536-46-9
Внешний вид мелкокристаллический порошок белого, желтого, роз. цвета, темнеющий на воздухе
Чувствительность к сульфидам соотв. П.4.5 ТУ 6-09-07-1607
Условия хранения: комнатная температура

Индекс риска

R23/24/25Токсично при вдыхании, попадании на кожу и проглатывании
Индекс риска (R)
23/24/25

Индекс безопасности

S36/37Надеть соответствующую защитную одежду и перчатки
S45В случае аварии или при плохом самочувствии немедленно обратиться за медицинской помощью (по возможности предъявить этикетку материала)
Индекс безопасности (S)
36/37-45
Россия
Диметил-п-фенилендиамин сульфат-N,N, CAS 536-47-0, более 98%, ч
S5364700.0100
100 г
Синонимы: 4-Амино-N,N-диметиланилин сульфат, 4-(Диметиламино)анилин сульфат, N,N-Диметил-p-фенилендиамин сульфат, 4-(Dimethylamino)aniline sulfate salt, 4-Amino-N,N-dimethylaniline sulfate salt, DMPPDA.


Химическая формула NH₂C₆H₄N(CH₃)₂* H₂SO₄
Молекулярная масса 234,28
Cas No 536-47-0
Содержание основного в-ва, % не менее 98
Температура кипения, °С 495
Температура плавления, °С 200-205
Условия хранения комнатная температура

Индекс риска

R23/24/25Токсично при вдыхании, попадании на кожу и проглатывании
R36/37/38Раздражает глаза, органы дыхания и кожу
Индекс риска (R)
23/24/25-36/37/38

Индекс безопасности

S26В случае попадания в глаза немедленно промыть глаза большим количеством воды и обратиться за медицинской помощью
S36/37/39Надеть соответствующую защитную одежду, перчатки и средства защиты глаз/лица
S45В случае аварии или при плохом самочувствии немедленно обратиться за медицинской помощью (по возможности предъявить этикетку материала)
Индекс безопасности (S)
26-36/37/39-45
U100107.0050
50 г
2 195 руб.
28,= USD
U100107.0100
100 г
2 747 руб.
35,= USD
U100107.1000
1 кг
19 375 руб.
248,= USD
U100107.5000
5 кг
U100107.25000
25 кг


CAS-No. 100-10-7
Химическая формула (CH₃)₂NC₆H₄CHO
Молярный вес, г/моль 149,19
Внешний вид слабо лимонного цвета мелкокристаллический порошок
Содержание основного вещества (ВЖХ) ,% 99,2
Растворимость растворим в бензоле/хлороформе/спирте, полная растворимость в HCI
Температура плавления, °С 73 - 75
Условия хранения комнатная температура
CDH, Индия
Диметиламинопиридин-4, CAS 1122-58-3, 98%
074895.100 gm
100 г
2 402 руб.
31,= USD


CAS-No. 1122-58-3
Химическая формула C₇H₁₀N₂
Молекулярная масса, г/моль 122,17
Внешний вид Кристаллический порошок от белого до светло-желтого цвета
Содержание основного вещества, % 98,0
Диапазон тепмератур плавления, °С 110-113

Индекс риска

Индекс риска (R)
GHS06
Ваш заказ будет обработан
в ближайшее время.
Мы пришлем уведомление, как только все будет готово. Спасибо!