Top.Mail.Ru
nsk@dia-m.ru 8 (800) 234-05-08
+7 (383) 328-00-48
Ваш регион Москва?

Разделы :

Агары для микроклонирования
Компоненты микробиологических сред
Среды для молекулярной биологии
Среды микробиологические

Товары

Пока нет данных. Перейти в каталог
Доступность
  • На складе
  • В транзите
  • В транзите и на складе
  • Все товары
033004.100 gm
033004.100 gm
100 г
New
2 200, руб.
28,= USD
Аналоги:
Аналоги
По запросу
По запросу
По запросу
По запросу
По запросу
По запросу
По запросу
По запросу
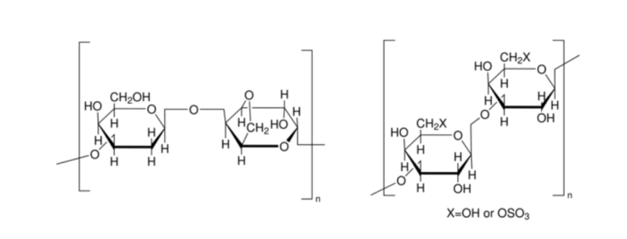
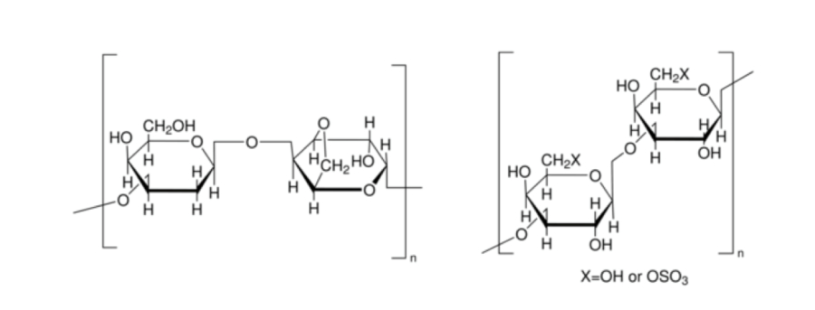
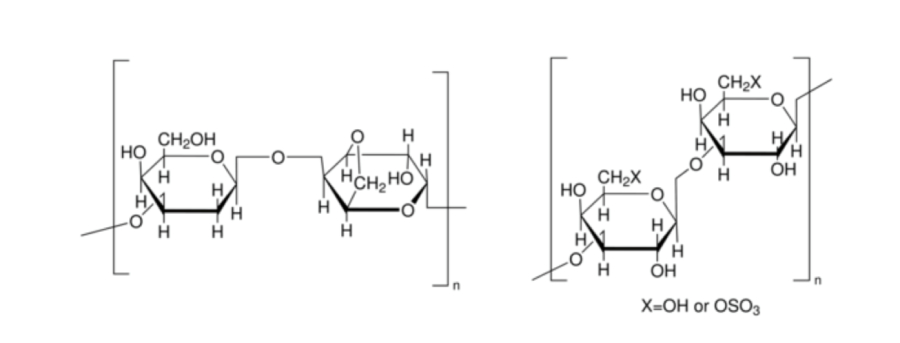
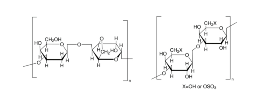
Синонимы: Agar-agar, Gum agar, Агар-агар, гуммиагар.


CAS-No. 9002-18-0
Внешний вид Белый или светло-желтый порошок
Растворимость Не растворим в холодной воде, растворим в кипятке
Прозрачность раствора после автоклавирования Тест пройден
Температура желирования, °С Ниже 40
Формирование геля Тест пройден
pH 6,5-7
Температура плавления, °С 88-91
Прочность геля г/см² 900
Потеря массы при высушивании, % 20
Зола, % 3
Общее количество бактерий, кое/мл Менее 1000
Идентификация опасности (опасностей)
Классификация веществ или смесей:
безопасное вещество или смесь согласно Регламенту (ЕС) No. 1272/2008.
Элементы маркировки:
безопасное вещество или смесь.
Прочие виды опасности — нет.
  • Агар/Agar Powder Bacteriological
3440.0500
3440.0500
500 г
12 076, руб.
133,= EUR
3440.5000
5 кг
104 873, руб.
1 155,= EUR
3440.25000
25 кг
По запросу
По запросу
Агар изготавливается из нескольких видов красной водоросли, главным образом из Gelidium, Gracilaria и Pterocladia. Агар бактериологический европейский тип является желирующим агентом, применяемый в приготовлении микробиологических сред. Важной особенностью этого агара является отсутствие ингибиторов, которые могли бы повлиять на рост микроорганизмов. У агара бактериологического европейского типа отличная прозрачность и очень хорошая воспроизводимость. Каждая партия тестируется по биологическим показателям, чтобы обеспечить отсутствие ингибиторов и хороший рост микроорганизмов. Европейский тип агара обладает большей силой геля, чем американский тип. Используется в концентрации 1,2-1,6%.


Внешний вид кремовый порошок
Влажность, % не более 10
Прочность геля 1,5%, г/см² 600-750
Температура плавления, °C 85 ± 5
Температура гелеобразования, °C 35 ± 3
Прозрачность, NTU не более 12
Поглощение, 430 нм не более 0,2
Размер частиц, сито 60, % не менее 95
Зола, % не более 4,5
рН (1,5 % после автоклавирования) 6,5±0,4
рН (1,5 % перед автоклавированием) 7,0±0,4
  • Агар-агар бактериологический европейский тип, Импорт
DM 1571.500 gm
500 г
9 498, руб.
121,= USD

Агар фенол-Красный маннитол-агар используется для исследования ферментации маннита чистыми культурами микроорганизмов. Агаровые среды с феноловым красным применяются для изучения ферментации различных углеводов индивидуально чистыми культурами микроорганизмов. При использовании фенолового красного агара с маннитом положительная реакция ферментации углеводов проявляется в изменении цвета агара на желтый из-за образования кислоты. Выделение газа указывает на расщепление агара или образование пузырьков. Чашки или пробирки можно инкубировать как аэробно, так и анаэробно в зависимости от типа тестируемого организма.

Использование

Растворите 41,02 грамма порошкообразной среды в 1000 мл дистиллированной воды. Хорошо встряхните и нагрейте при частом помешивании, чтобы среда полностью растворилась. Разлейте по пробиркам и стерилизуйте автоклавированием при 121 °C в течение 15 минут. Дайте трубке остыть в наклонном положении, чтобы образовались скосы с глубокими торцами.

Хранить при температуре ниже 30 °C в плотно закрытом контейнере и использовать до истечения срока годности, указанного на этикетке.

Готовые среды: 2–8 в герметично закрывающихся пластиковых пакетах на 2–5 дней.


  • Агар фенол-Красный маннитол-агар, CDH, Индия
1923.5000
1923.5000
5 кг
89 165, руб.
982,= EUR
1923.0500
500 г
По запросу
По запросу
1923.25000
25 кг
По запросу
По запросу
  • Агар-агар бактериологический американский тип, Импорт
1806.0500
1806.0500
500 г
14 528, руб.
160,= EUR
1806.5000
5 кг
145 278, руб.
1 600,= EUR
1806.25000
25 кг
По запросу
По запросу
Агар изготавливается из нескольких видов красной водоросли, главным образом из Gelidium, Gracilaria и Pterocladia. Данный агар высокоочищенный с очень низким содержанием золы для применения в микробиологии и биохимии. Агар очищенный подвергается тщательному тестированию, что гарантирует его отличную воспроизводимость в биохимических, бактериологических и микологических исследованиях. Внешний вид кремовый порошок Влажность, % не более 10 Прочность геля 1,5%, г/см² 700-1200 Температура плавления, °C 80-95 Температура гелеобразования, °C 32-37,5 Прозрачность, NTU не более 8 Поглощение, 430 нм не более 0,1 Размер частиц, сито 60, % не менее 95 Зола, % не более 1,6 рН (1,5 % после автоклавирования) 5-7 рН (1,5 % перед автоклавированием) 5-7
  • Агар-агар бактериологический очищенный, Импорт
1099
500 г
7 804, руб.
86,= EUR
Агар МакКонки с сорбитом для селективного выделения и дифференциации E. coli 0157:H7 в пище и клинических образцах; Состав Агара МакКонки с сорбитом разработан Раппапортом и Хенингом (Rappaport & Hening); состав аналогичен агару МакКонки, но лактоза заменена сорбитом для дифференциации энтеропатогенных серотипов E. col; данные штаммы являются сорбит-отрицательными; на стандартном а гаре МакКонки с лактозой нет возможности распознать их среди других лактозо-ферментирующих штаммов E. сoli.
  • Агар-агар бактериологический очищенный
3136.0250
3136.0250
250 г
хранение +2...+8°C, транспортировка +2...+8 °C
4 818, руб.
53,= EUR
3136.0500
500 г
хранение +2...+8°C
8 380, руб.
92,= EUR


Агар LB по Lennox богат питательными веществами и применяется для поддержания культуры E.coli. Триптон обеспечивает азотом, витаминами, минералами и аминокислотами, необходимыми для роста E.coli; дрожжевой экстракт является источником витаминов, особенно В-группы; натрий хлорид поддерживает необходимый осмос; бактериологический агар является желирующим агентом. Агар LB по Lennox с ампициллином используется для отбора рекомбинантных штаммов E.coli по устойчивости к ампициллину.
Триптон, г/л 10,0
Дрожжевой экстракт, г/л 5,0
Натрий хлорид, г/л 5,0
Бактериологический агар, г/л 15,0
Ампициллин, г/л 0,10
рН 7,0±0,2
Растворите 35 г в 1 л дистиллированной воды, нагрейте до полного растворения, не перегревайте (ампициллин при нагревании разрушается), не стерилизуйте в автоклаве, храните при 8-15 °C.
  • Агар LB по Lennox с ампициллином, 100 мкг/мл, Диаэм
3137.0250
3137.0250
250 г
По запросу
По запросу
3137.0500
500 г
хранение +2...+8°C, транспортировка +2...+8 °C
16 073, руб.
177,= EUR


Агар LB по Lennox богат питательными веществами и применяется для поддержания культуры E.coli. Триптон обеспечивает азотом, витаминами, минералами и аминокислотами, необходимыми для роста E.coli; дрожжевой экстракт является источником витаминов, особенно В-группы; натрий хлорид поддерживает необходимый осмос; бактериологический агар является желирующим агентом. Агар LB по Lennox с канамицином используется для отбора рекомбинантных штаммов E.coli по устойчивости к канамицину.
Триптон, г/л 10,0
Дрожжевой экстракт, г/л 5,0
Натрий хлорид, г/л 5,0
Бактериологический агар, г/л 15,0
Канамицин, г/л 0,05
рН 7,0±0,2
Растворите 35 г в 1 л дистиллированной воды, нагрейте до полного растворения, стерилизуйте в автоклаве 10 мин при 118 °C, храните при 8-15 °C.
  • Агар LB по Lennox с ампициллином, 100 мкг/мл
3142.0250
3142.0250
250 г
4 286, руб.
47,= EUR
3142.0500
500 г
7 533, руб.
83,= EUR


Агар LB по Miller богат питательными веществами и применяется для поддержания культуры E. coli. Повышенное содержание натрий хлорида. Триптон обеспечивает азотом, витаминами, минералами и аминокислотами, необходимыми для роста E. coli; дрожжевой экстракт является источником витаминов, особенно В-группы; натрий хлорид поддерживает необходимый осмос. Бактериологический агар является желирующим агентом. Агар LB по Miller с ампициллином используется для отбора рекомбинантных штаммов E. coli по устойчивости к ампициллину.
Триптон, г/л 10,0
Дрожжевой экстракт, г/л 5,0
Натрий хлорид, г/л 10,0
Бактериологический агар, г/л 15,0
Ампициллин, г/л 0,05
рН 7,0±0,2
Приготовление: растворите 40 г в 1 л дистиллированной воды, нагрейте до полного растворения, не перегревайте (ампициллин при нагревании разрушается), не стерилизуйте в автоклаве, храните при 8-15 °C.
  • Агар LB по Lennox с ампициллином, 100 мкг/мл
3145.0250
3145.0250
250 г
По запросу
По запросу
3145.0500
500 г
По запросу
По запросу


Агар LB по Miller богат питательными веществами и применяется для поддержания культуры E. coli. Повышенное содержание натрий хлорида. Триптон обеспечивает азотом, витаминами, минералами и аминокислотами, необходимыми для роста E. coli; дрожжевой экстракт является источником витаминов, особенно В-группы. Натрий хлорид поддерживает необходимый осмос. Бактериологический агар является желирующим агентом. Агар LB по Miller с хлорамфениколом используется для отбора рекомбинантных штаммов E. coli по устойчивости к хлорамфениколу.
Триптон, г/л 10,0
Дрожжевой экстракт, г/л 5,0
Натрий хлорид, г/л 10,0
Бактериологический агар, г/л 15,0
Хлорамфеникол, г/л 0,034
рН 7,0±0,2
Растворите 40 г в 1 л дистиллированной воды, нагрейте до полного растворения, стерилизуйте в автоклаве 10 мин при 118 °C, храните при 8-15 °C.
  • Агар LB по Lennox с ампициллином, 100 мкг/мл
3143.0250
3143.0250
250 г
4 177, руб.
46,= EUR
3143.0500
500 г
хранение +4°C
7 380, руб.
81,= EUR


Агар LB по Miller богат питательными веществами и применяется для поддержания культуры E. coli. Повышенное содержание натрий хлорида. Триптон обеспечивает азотом, витаминами, минералами и аминокислотами, необходимыми для роста E. coli; дрожжевой экстракт является источником витаминов, особенно В-группы; натрий хлорид поддерживает необходимый осмос; бактериологический агар является желирующим агентом. Агар LB по Miller с ампициллином используется для отбора рекомбинантных штаммов E. coli по устойчивости к ампициллину.
Триптон, г/л 10,0
Дрожжевой экстракт, г/л 5,0
Натрий хлорид, г/л 5,0
Бактериологический агар, г/л 15,0
Ампициллин, г/л 0,05
рН 7,0±0,2
Растворите 40 г в 1 л дистиллированной воды, нагрейте до полного растворения, не перегревайте (ампициллин при нагревании разрушается), не стерилизуйте в автоклаве, храните при 8-15 °C.
  • Агар LB по Miller с ампициллином, 100 мкг/мл, Диаэм
3148.0250
3148.0250
250 г
По запросу
По запросу
3148.0500
500 г
7 264, руб.
80,= EUR


Агар YPD применяется для культивирования дрожжей. Аналогичен агару YP, но отличается добавлением декстрозы. Содержит глюкозу, соли и белки, необходимые для быстрого роста Saccharomyces cerevisiae; пептон обеспечивает азотом, витаминами, минералами и аминокислотами, необходимыми для роста Saccharomyces cerevisiae;дрожжевой экстракт является источником витаминов, особенно В-группы; бактериологический агар является желирующим агентом.
Пептон, г/л 20,0
Дрожжевой экстракт, г/л 10,0
Декстроза, г/л 20,0
Бактериологический агар, г/л 15,0
рН 6,5±0,2
Приготовление: растворите 65 г в 1 л дистиллированной воды, нагрейте до полного растворения, стерилизуйте в автоклаве 15 мин при 121 °C, храните при 8-15 °C.
  • Агар YPD для культивирования дрожжей, с декстрозой, Диаэм
3138.0250
3138.0250
250 г
По запросу
По запросу
3138.0500
500 г
6 997, руб.
77,= EUR


Агар LB по Lennox богат питательными веществами и применяется для поддержания культуры E.coli. Триптон обеспечивает азотом, витаминами, минералами и аминокислотами, необходимыми для роста E.coli; дрожжевой экстракт является источником витаминов, особенно В-группы; натрий хлорид поддерживает необходимый осмос; бактериологический агар является желирующим агентом. Агар LB по Lennox с канамицином используется для отбора рекомбинантных штаммов E.coli по устойчивости к канамицину.
Триптон, г/л 10,0
Дрожжевой экстракт, г/л 5,0
Натрий хлорид, г/л 5,0
Бактериологический агар, г/л 15,0
Канамицин, г/л 0,05
рН 7,0±0,2
Растворите 35 г в 1 л дистиллированной воды, нагрейте до полного растворения, стерилизуйте в автоклаве 10 мин при 118 °C, храните при 8-15 °C.
  • Агар YPD для культивирования дрожжей, с декстрозой
3144.0250
3144.0250
250 г
По запросу
По запросу
3144.0500
500 г
транспортировка +4°C
14 050, руб.
155,= EUR


Агар LB по Miller богат питательными веществами и применяется для поддержания культуры E. coli. Повышенное содержание натрий хлорида. Триптон обеспечивает азотом, витаминами, минералами и аминокислотами, необходимыми для роста E. coli; дрожжевой экстракт является источником витаминов, особенно В-группы; натрий хлорид поддерживает необходимый осмос; бактериологический агар является желирующим агентом. Агар LB по Miller с канамицином используется для отбора рекомбинантных штаммов E. coli по устойчивости к канамицину.
Триптон, г/л 10,0
Дрожжевой экстракт, г/л 5,0
Натрий хлорид, г/л 10,0
Бактериологический агар, г/л 15,0
Канамицин, г/л 0,05
рН 7,0±0,2
Растворите 40 г в 1 л дистиллированной воды, нагрейте до полного растворения, нагрейте до полного растворения, стерилизуйте в автоклаве 10 мин при 118 °C, храните при 8-15 °C.
  • Агар LB по Miller с канамицином, 50 мкг/мл, Диаэм
4075.0500
4075.0500
500 г
2 710, руб.
235 CNY
4075.5000
5 кг
23 211, руб.
2 013 CNY
4075.25000
25 кг
По запросу
По запросу
Агар-Агар с силой геля 650-750 г/см² в основном используется для биотехнологических и микробиологических исследований.


Цвет от беловатого до бледно-желтого цвета
Запах нет запаха
Внешний вид однородный порошок
Сила геля после автоклавирования, г/см2 650-750
pH (1,5% р-р) после автоклавирования 6-8
Температура плавления 84-88 °C
Температура гелеобразования 38-42 °C
Общая зола max. 5%
Нерастворенное вещество max. 1%
Потери при высушивании max. 20%
Тяжелые металлы (Pb) max. 20ppm
Свинец max. 5ppm
Мышьяк max. 3ppm
КМАФАнМ, КОЕ/г max. 5,000/г
Дрожжи/плесени КОЕ/г max. 100/g
Колиформные бактерии КОЕ/г отсутствуют
E.coli КОЕ/5 г отсутствуют
Salmonella в 25 г отсутствуют
  • Агар-Агар микробиологический, 700 г/см², Китай
4074.0500
4074.0500
500 г
2 883, руб.
250 CNY
4074.5000
5 кг
27 154, руб.
2 355 CNY
4074.25000
25 кг
По запросу
По запросу

Агар-Агар с силой геля 650-750 г/см2 в основном используется для биотехнологических и микробиологических исследований.



Цвет от беловатого до бледно-желтого цвета
Запах нет запаха
Внешний вид однородный порошок
Сила геля после автоклавирования, г/см2 750 г/см2
pH (1,5% р-р) после автоклавирования 6-8
Температура плавления 84-88 °C
Температура гелеобразования 38-42 °C
Общая зола max.5%
Нерастворенное вещество max. 1,0%
Потери при высушивании max. 20%
Водопоглощение 100%
Тяжелые металлы (Pb) max. 20ppm
Свинец max. 3ppm
Мышьяк max. 3ppm
Кадмий max. 1ppm
Ртуть max. 1ppm
КМАФАнМ, КОЕ/г max. 5,000/г
Дрожжи/плесени КОЕ/г max.100/г
Колиформные бактерии КОЕ/г отсутствует
E.coli КОЕ/5 г отсутствует
Salmonella в 25 г отсутствует
  • Агар-Агар микробиологический, 750 г/см², Китай
DM 2151.500gm
500 г
7 846, руб.
100,= USD

Агар LB по Miller богат питательными веществами и применяется для поддержания культуры E. coli. Повышенное содержание натрий хлорида. Триптон обеспечивает азотом, витаминами, минералами и аминокислотами, необходимыми для роста E. coli; дрожжевой экстракт является источником витаминов, особенно В-группы; натрий хлорид поддерживает необходимый осмос; бактериологический агар является желирующим агентом.

Состав г/л
Ферментативный гидролизат казеина 10
Дрожжевой экстракт 5
NaCl 10
Агар 15
pH при 25°C 7,5±0.2
  • Агар LB по Miller, порошок, CDH, 500 г
DM 1063H.500 gm
500 г
6 306, руб.
81,= USD

Агар Сабуро с декстрозой рекомендуется для культивирования дрожжей, плесени и кислых бактерий из фармацевтических продуктов в соответствии с тестированием на лимит микробов по согласованной методологии USP/EP/BP/JP.

Грибы были одними из первых обнаруженных микроорганизмов, поскольку они часто достаточно велики, чтобы их можно было увидеть без микроскопа. Грибы можно сгруппировать просто по морфологии: дрожжи или плесени. Грибковые заболевания, возникающие на коже, волосах и слизистых оболочках, называются поверхностными микозами, а организм, вызывающий их, дерматофитами. При необходимости выделения грибов рекомендуется использовать среду, которая способствует их росту, но не является оптимальной для роста бактерий. Агар Сабуро с декстрозой представляет собой модификацию состава, описанного Сабуро, для культивирования грибов (дрожжей, плесени) и ацидурических микроорганизмов.

Данный агар рекомендуется для микробиологического исследования нестерильных продуктов в соответствии с согласованными методами USP/EP/BP/JP.

Некоторые патогенные грибы могут образовывать инфекционные споры, которые легко рассеиваются в воздухе, поэтому исследование следует проводить в защитном боксе. Для сильно загрязненных образцов в планшет необходимо добавить ингибиторы для подавления роста бактерий. Рост белых колоний может указывать на присутствие Candida albicans. Общее количество дрожжей и плесеней считается равным количеству колониеобразующих единиц, обнаруженных с использованием этой среды. Если обнаруживаются бактериальные колонии, их подсчитывают как часть общего количества дрожжей и плесени. Если количество бактериальных колоний превышает критерий приемлемости, в эту среду можно добавить антибиотики.

Использование

Для приготовления среды необходимо растворить 65 граммов порошкообразной среды в 1000 мл очищенной/дистиллированной воды. Хорошо встряхните и нагрейте, чтобы среда полностью растворилась. Стерилизовать автоклавированием при 121 °C в течение 15 минут или в соответствии с утвержденным циклом. Разлейте по стерильным чашкам Петри.

  • Агар Сабуро с декстрозой / Sabouraud Dextrose Agar, CDH, Индия
1142
500 г
13 633, руб.
150,= EUR
Агар печеночный используется для выращивания бруцелл и других требовательных патогенов из пищевых продуктов. Хотя большинство штаммов Brucella spp. растут на шоколадном или кровяном агаре, эта среда является более
предпочтительной благодаря высокопитательной основе, обеспечивающей интенсивный рост бруцелл и других требовательных микроорганизмов.
  • Агар Сабуро с декстрозой / Sabouraud Dextrose Agar
1006
500 г
8 395, руб.
92,= EUR
Агар BIGGY используется для выделения и дифференциации Candida albicans и C. tropicalis, а также для дифференциации видов по методу Никерсона; аналог российской среды для выделения грибов рода Candida, Кандида-агар.
  • Агар Сабуро с декстрозой / Sabouraud Dextrose Agar
1052_спец
500 г
По запросу
По запросу
Агар МакКонки для выделения и идентификации энтеробактерий из фекалий, мочи, сточных вод и пищевых продуктов; агар МакКонки используется
для селективного выделения и идентификации энтеробактерий из фекалий, мочи, сточныхвод и пищевых продуктов; также он является селективной и дифференциальной
средой для выделения кишечных грамотрицательных бактерий.
  • Агар Сабуро с декстрозой / Sabouraud Dextrose Agar
3140.0250
3140.0250
250 г
По запросу
По запросу
3140.0500
500 г
По запросу
По запросу


Агар LB по Miller богат питательными веществами и применяется для поддержания культуры E. coli. Повышенное содержание натрий хлорида. Триптон обеспечивает азотом, витаминами, минералами и аминокислотами, необходимыми для роста E. coli; дрожжевой экстракт является источником витаминов, особенно В-группы; натрий хлорид поддерживает необходимый осмос; бактериологический агар является желирующим агентом.
Триптон, г/л 10,0
Дрожжевой экстракт, г/л 5,0
Натрий хлорид, г/л 10,0
Бактериологический агар, г/л 15,0
рН 7,0±0,2
Приготовление: растворите 40 г в 1 л дистиллированной воды, нагрейте до полного растворения, стерилизуйте в автоклаве 15 мин при 121 °C, храните при 8-15 °C.
  • Агар LB по Miller, Диаэм
3139.0250
3139.0250
250 г
4 313, руб.
48,= EUR
3139.0500
500 г
7 138, руб.
79,= EUR


Агар LB по Lennox богат питательными веществами и применяется для поддержания культуры E.coli. Триптон обеспечивает азотом, витаминами, минералами и аминокислотами, необходимыми для роста E.coli; дрожжевой экстракт является источником витаминов, особенно В-группы; натрий хлорид поддерживает необходимый осмос; бактериологический агар является желирующим агентом.
Триптон, г/л 10,0
Дрожжевой экстракт, г/л 5,0
Натрий хлорид, г/л 5,0
Бактериологический агар 15,0
рН 7,0±0,2
Растворите 35 г в 1 л дистиллированной воды, нагрейте до полного растворения, стерилизуйте в автоклаве 15 мин при 121 °C, храните при 8-15 °C.
  • Агар LB по Lennox, Диаэм
1812.0500
1812.0500
500 г
По запросу
По запросу
1812.5000
5 кг
84 625, руб.
932,= EUR
1812.25000
25 кг
По запросу
По запросу
Агар изготавливается из нескольких видов красной водоросли, главным образом из Gelidium, Gracilaria и Pterocladia. Агар для размножения растений без примесей и рекомендуется для микроклонального размножения растений в биотехнологии, садоводстве и др. Характеризуется высокой прочностью геля (более 1000 г/см²), что позволяет готовить гель низкой концентрации (0,5-0,6 %). Агар обладает высокой степенью прозрачности, что помогает визуализировать контаминацию размножаемого материала бактериями или плесенью. Внешний вид кремовый порошок Влажность, % не более 18 Прочность геля 1,5%, г/см² не менее 1000 Температура плавления, °C 92 ± 2 Температура гелеобразования, °C 34 ± 2 Прозрачность, NTU не более 25 Поглощение, 430 нм не более 0,2 Размер частиц, сито 80, % не менее 95 Зола, % не более 2,5-3,5 рН (1,5 % после автоклавирования) 7,0 рН (1,5 % перед автоклавированием) 7,2


сила геля ≥ 900 г/см²
мутность ≤ 15 NTU
pH (1,5%) 6,00-7,50
влажность ≥ 16%
зола ≤ 6,5 %
колориметрия ≤ 0,250
  • Агар для микроклонального размножения растений в производстве, Диаэм
1308
500 г
8 301, руб.
91,= EUR
Агар L по Miller богат питательными веществами и применяется для поддержания культуры E. coli. Содержит минимальное количество натрий хлорида. Триптон обеспечивает азотом, витаминами, минералами и аминокислотами, необходимыми для роста E. coli. Дрожжевой экстракт является источником витаминов, особенно В-группы. Натрий хлорид поддерживает необходимый осмос. Бактериологический агар является желирующим агентом. Триптон, г/л 10,0 Дрожжевой экстракт, г/л 5,0 Натрий хлорид, г/л 0,5 Бактериологический агар, г/л 15,0 рН 7,0±0,2 Растворите 30,5 г в 1 л дистиллированной воды, нагрейте до полного растворения, стерилизуйте в автоклаве 15 мин при 121 °C, храните при 8-15 °C.
  • Агар для микроклонального размножения растений в производстве
DM 1091A .500 gm
DM 1091A .500 gm
500 г
8 402, руб.
107,= USD
Аналоги:
Аналоги
9 936, руб.
9 936, руб. RUB


Агар общего назначения для выращивания широкого спектра аэробных микроорганизмов КМАФАнМ и подсчета общего микробного числа (ОМЧ).
Состав г/л
Ферментативный гидролизат казеина 5,0
Экстракт дрожжевой 2.5
Декстроза 1,0
Агар 9,0
pH (at 25 °C) 7,0±0,2
  • Агар для подсчета микроорганизмов КМАФАнМ (ОМЧ), (Plate count agar), порошок, CDH, Индия
TM 544.500 gm
500 г
6 946, руб.
77,= EUR

Агар питательный для определения количества микроорганизмов в пищевых продуктах, воде, сточных водах и в клинических образцах (ISO 4833-1 и 2:2013).

Синонимы: Agar-agar, Gum agar, агар, гуммиагар.



Идентификация опасности (опасностей)
Классификация веществ или смесей:
безопасное вещество или смесь согласно Регламенту (ЕС) No. 1272/2008.
Элементы маркировки:
cимвол факторов риска, сигнальное слово, краткая характеристика опасности, предупреждение(я) о мерах предосторожности не требуются.
Прочие виды опасности — нет.
  • Агар питательный, Plate Count Agar, порошок, TM Media, 500 г
1804.0500
500 г
21 036, руб.
232,= EUR
Агар изготавливается из нескольких видов красной водоросли, главным образом из Gelidium, Gracilaria и Pterocladia. Применяется в приготовлении микробиологических сред. Внешний вид кремовый порошок Влажность, % не более 8 Прочность геля 1,5%, г/см² не более 900 Температура плавления, °C 85-90 Температура гелеобразования, °C 34-38 Поглощение, 430 нм не более 0,4 Размер частиц, сито 60, % не менее 95 Зола, % не более 5,0 рН (1,5 % после автоклавирования) 7,0±0,4 рН (1,5 % перед автоклавированием) 7,2±0,4
  • Агар
1016
500 г
7 397, руб.
81,= EUR
Агар CLED – неселективная дифференциальная среда для роста и подсчета микроорганизмов мочевых путей; отсутствие хлорида натрия в среде ингибирует обильное разрастание колоний протеев и способствует росту подавляющего большинства бактерий, вызывающих инфекции мочевых путей, поэтому среда используется для их дифференциации и идентификации; аналог российской среды ЦЛЭН (КЛЭД) агар.
  • Агар
DM 1063.500 gm
500 г
По запросу
По запросу

Агар Сабуро декстрозный специально разработан для работы с патогенными грибами, в частности, вызывающих кожные инфекционные заболевания.

Этот агар содержит моносахарид декстрозу и также используется как питательная среда для грибов плесневого типа, ацидофильных микроорганизмов, дрожжей.

Препарат поставляется в виде сухого вещества в фасовке 500 г, производство CDH. Способ приготовления питательной среды зависит от дополнительных условий культивирования и определяется видом микроорганизмов, для культивирования которых будет использоваться.

  • Агар Сабуро декстрозный, CDH
DM2084.500 gm
500 г
По запросу
По запросу

Агар Мюллера-Хинтона № 2 используется для работы с патогенными штаммами Neisseria при их культивировании и выделении, а также для определения устойчивости к сульфонимиду бактерий и чувствительности штаммов гонококков. Также этот агар применяется для проведения тестов на чувствительности к антибиотикам при применении дисков.

  • Агар Мюллер Хинтон № 2, CDH, Индия
1055
500 г
10 434, руб.
115,= EUR
Агар Мюллера Хинтона 2 используется для определения чувствительности к
антибиотикам и для первичного выделения гонококков и менингококков и других
патогенов из клинических образцов.
  • Агар Мюллер Хинтон № 2
1058
500 г
8 447, руб.
93,= EUR

Агар Мюллера-Хинтона совместно с Бульоном Мюллера-Хинтона (кат. № 1214) используется, в основном, для тестирования антимикробной чувствительности быстрорастущих аэробных организмов из клинических образцов.

  • Агар Мюллер Хинтон № 2
DM 1059.500 gm
500 г
По запросу
По запросу

Агар с Блестящей Зеленой Желчью рекомендуется для подсчета бактерии группы кишечной палочки (БГКП) в воде и сточных водах.

Агар с Блестящей Зеленой Желчью, разработанный Нобелем и Понни, предназначен для количественного определения бактерии группы кишечной палочки (БГКП) в материалах, важных с санитарной точки зрения. Эта среда включает в себя уникальное сочетание бриллиантового зеленого и бычьей желчи, что обеспечивает высокую селективность по отношению к колиформам и эффективно подавляет рост большинства грам +, а также некоторых грам - бактерий. Индикаторная система среды, состоящая из эриоглауцина и основного фуксина, позволяет визуально оценить изменения pH: при нейтральном pH среда имеет синий цвет, в то время как кислотное разложение лактозы приводит к изменению цвета на розовый, а колонии колиформных бактерий приобретают темно-красный оттенок с розовым ореолом на фоне синей среды.

Для сохранения качества среды рекомендуется ее свежеприготовление перед использованием. Если хранение необходимо, следует обеспечить защиту от света, особенно от прямых солнечных лучей, которые могут ухудшить ее свойства и изменить цвет с темно-синего на фиолетовый или красный.

Использование

Для приготовления среды необходимо растворить 20,7 г порошка в 1000 мл дистиллированной воды. Следует тщательно встряхнуть и нагреть до полного растворения компонентов. Стерилизация проводится путем автоклавирования при температуре 121 °C в течение 15 минут. После стерилизации среду необходимо тщательно перемешать и разлить в стерильные чашки Петри.

Важно: Основной фуксин является потенциальным канцерогеном, поэтому при работе с порошкообразной формой красителя следует проявлять особую осторожность, чтобы предотвратить его вдыхание и контакт с кожей.

  • Агар с Блестящей Зеленой Желчью, CDH, Индия
DM 1008S
500 г
6 329, руб.
81,= USD

Агар МакКонки применяется для выделения, идентификации и подсчета кишечной палочки, золотистого стафилококка и фекальных стрептококков. Это первая селективная и дифференциальная среда для культивирования кишечных микроорганизмов из различных клинических образцов. Позже агар и бульон МакКонки стали рекомендоваться для выделения, идентификации и подсчета золотистого стафилококка и фекальных стрептококков из пищевых продуктов, а также для прямого посева проб воды для подсчета колиформ. Эти среды также используются в стандартных методах исследования молока, молочных продуктов и фармацевтических препаратов.

Исходная среда содержит белок, соли желчных кислот, хлорид натрия и два красителя.

Использование

  • Растворите 55,07 г порошкообразной среды в 1000 мл дистиллированной воды;
  • хорошо встряхните и нагрейте, слегка вращая, чтобы среда полностью растворилась;
  • стерилизуйте автоклавированием при 121 °C в течение 15 минут. Избегайте перегрева;
  • остудите до 45-50 °C и разлейте в стерильные чашки Петри. Поверхность среды при инокуляции должна быть сухой.

Хранение

  • Храните при температуре ниже 30 °C в плотно закрытом контейнере и используйте до истечения срока годности, указанного на этикетке;
  • готовые среды: 2–80 шт. в герметично закрывающихся пластиковых пакетах на 2–5 дней.
  • Агар Макконки, CDH, Индия
CM0929B
500 г
По запросу
По запросу

Агар MYP (маннит-агар с эмульсией яичного желтка и полимиксином).

Среда для подсчета Bacillus cereus в пищевых образцах. Диагностические характеристики среды основаны на способности Bacillus cereus утилизировать маннит и способности большинства штаммов продуцировать фосфолипазу C, что приводит к появлению непрозрачного ореола вокруг колоний.

Для приготовления среды необходимы добавки: SR0099E Селективная добавка для Bacillus cereus, 10 флаконов (1 флакон на 500 мл среды) SR0047C Эмульсия яичного желтка, 100 мл.


CM1127B
CM1127B
500 г
12 112, руб.
72 900 KZT
CM1127T
5 кг
По запросу
По запросу
Агар Байрда-Паркера (ISO) это селективная и диагностическая среда для выделения и подсчета коагулазо-положительных стафилококков из образцов пищевой продукции. При использовании с теллуритом яичного желтка эта среда соответствует критериям состава и эффективности, описанным в ISO 6888 и ISO 11133: 2014. Агар Байрда Паркера содержит тщательно сбалансированные селективные ингибиторы, глицин, литий и теллурит, которые подавляют рост большинства бактерий, присутствующих в пищевых продуктах, без ингибирования коагулазоположительных стафилококков. Присутствие эмульсии яичного желтка и пирувата натрия способствует восстановлению поврежденных клеток для предположительной идентификации Staphylococcus aureus в образцах пищевых продуктов.

Полное описание и инструкция по приготовлению питательной среды СМ1127

Каталог микробиологической продукции Oxoid FS, анг., 94 стр
  • Агар MYP, порошок Фото 3
1045
500 г
9 488, руб.
105,= EUR
Агар DCLS (дезоксихолат-цитрат -лактоза-и сахароза) селективная среда для первичного выделения Salmonella spp. и Shigella spp. из фекалий и мочи.
  • Агар MYP, порошок Фото 3
1072
500 г
9 534, руб.
105,= EUR
Агар микобиотический — среда для селективного культивирования патогенных
грибов из различных клинических проб (соскобы с кожи и ногтей, бронхиальная
мокрота, желудочный сок и т.п.), почвы и других материалов, зараженных
смешанной сопутствующей микрофлорой.
  • Агар MYP, порошок Фото 3
1074
500 г
8 120, руб.
89,= EUR
Агар TCBS используется для выделения и культивирования
практически всех бактерий рода Vibrio, в том числе V. cholerae и V. alginolyticus, патогенных для человека и вызывающих холеру, холерную диарею или пищевое отравление зараженными пищевыми продуктами.
  • Агар MYP, порошок Фото 3
1087
500 г
8 886, руб.
98,= EUR
Агар для клостридий усиленный используется для культивирования и подсчета анаэробов (в особенности клостридий) и других микроорганизмов из пищевых продуктов и клинических проб; эта среда, созданная Хиршем и Гринстедом (Hirsch and Grinstead), превосходит другие среды в поддержании роста и получении большого количества клеток клостридий.

  • Агар MYP, порошок Фото 3
1042
500 г
6 450, руб.
71,= EUR
Агар Клиглера c железом используется для дифференциации грамотрицательных
энтеробактерий на основании ферментации углеводов и выделения HS.
  • Агар MYP, порошок Фото 3
1060
500 г
7 926, руб.
87,= EUR
Агар питательный — среда общего назначения, неселективная, пригодная
для культивирования большого спектра нетребовательных микроорганизмов; может
использоваться для подсчета колоний в санитарии, медицинской и промышленной
микробиологии; применяется при бактериологическом анализе питьевой воды,
сточных вод, молока и других пищевых продуктов.
  • Агар MYP, порошок Фото 3
1056
500 г
7 334, руб.
81,= EUR
Агар PCA (Plate count agar) для подсчета на чашках рекомендован APHA (США)
для подсчета санитарно-значимых микроорганизмов; показывает степень заражения пищевых продуктов или содержания в них микроорганизмов;
гидролизат казеина и дрожжевой экстракт являются источниками питательных
веществ, необходимых для роста микроорганизмов: азота, витаминов, минеральных
солей и аминокислот; декстроза — ферментируемый углевод, являющийся источником углерода и энергии.
  • Агар MYP, порошок Фото 3
1051
500 г
7 110, руб.
78,= EUR
Агар ВСР (Bromocresol Purple, бромкрезоловый пурпурный); используется для выделения колиформных бактерий на основе ферментации лактозы; аналог российской среды Эймкмана с лактозой
  • Агар MYP, порошок Фото 3
1000
500 г
По запросу
По запросу
Агар анаэробный используется для культивирования анаэробных микроорганизмов.
  • Агар MYP, порошок Фото 3
1109
500 г
11 495, руб.
127,= EUR
Агар висмут-сульфитный – модификация среды Вильсона-Блэйра (Wilson Blair
Medium), которая широко используется в повседневной практике для обнаружения
большинства видов рода Salmonella, в
частности, Salmonella typhi.
  • Агар MYP, порошок Фото 3
1030
500 г
13 604, руб.
150,= EUR
Агар гектоеновый используется для выделения и дифференциации
кишечных патогенов – сальмонелл, шигелл (возбудителей большого количества
серьезных желудочно-кишечных инфекций) и других грамотрицательных
энтеробактерий.
  • Агар MYP, порошок Фото 3
1022
500 г
6 645, руб.
73,= EUR
Агар картофельный используется для культивирования, идентификации и
подсчета дрожжей и плесневых грибов из пищевых продуктов.
Агар картофельный с декстрозой. Инструкция
  • Агар MYP, порошок Фото 3
1075
500 г
По запросу
По запросу
Агар TSN может
использоваться в пробирках или на чашках для идентификации и подсчета Clostridium perfringens из пищевых продуктов и других материалов, особенно при смешанной сопутствующей микрофлоре.
  • Агар MYP, порошок Фото 3
1012
7 160, руб.
79,= EUR
Агар для культивирования бруцелл — богатый питательными веществами и факторами роста,
хорошо подходит для выращивания и выделения требовательных
микроорганизмов; используется для
эффективного выделения бруцелл из клинических проб и пищевых продуктов с
развитой сопутствующей микрофлорой.
  • Агар MYP, порошок Фото 3
1037
500 г
По запросу
По запросу
Агар МакКонки без кристалвиолета для культивирования стафилококков и энтерококков, а также дифференциации кишечных микроорганизмов в воде, молочных продуктах и фекальных образцах.
  • Агар MYP, порошок Фото 3
1098
500 г
7 085, руб.
78,= EUR
Агар МакКонки без кристаллвиолета и хлорида натрия – дифференциальная среда, которая используется для обнаружения и выделения кишечных микроорганизмов; отсутствие хлорида натрия обеспечивает дефицит электролита, препятствуя бурному росту (распространению) Proteus spp., что способствует обнаружению и выделению кишечных микроорганизмов; кроме того, среда не содержит кристаллический фиолетовый, на ней хорошо растут стафилококки, энтерококки.
  • Агар MYP, порошок Фото 3
1034
500 г
11 031, руб.
121,= EUR
Агар KF стрептококковый – это разработанная Кеннером (Kenner) селективная
среда для выделения и подсчета энтерококков из воды, пищевых продуктов и других
источников; используется для чашечного подсчета энтерококков в пробах воды и
для определения присутствия Enterococcus faecalis в молоке, молочных и других пищевых продуктах.

  • Агар MYP, порошок Фото 3
1025
500 г
9 390, руб.
103,= EUR
Агар дезоксихолат-лактозный является слабо
селективной средой для выделения и дифференциации грамотрицательных кишечных бактерий.
  • Агар MYP, порошок Фото 3
1028
500 г
12 609, руб.
139,= EUR
Агар для определения ДНКазы используется для идентификации бактерий из
клинических образцов на основании активности дезоксирибонуклеазы.
  • Агар MYP, порошок Фото 3
222020
500 г
По запросу
По запросу

Агар для теста на ДНК-азу с метиленовым зеленым, содержит краситель, устраняющий необходимость добавления реагента в агар после инкубации.


  • Агар MYP, порошок Фото 3
1816.0500
1816.0500
500 г
По запросу
По запросу
1816.5000
5 кг
По запросу
По запросу
1816.25000
25 кг
По запросу
По запросу
Агар изготавливается из нескольких видов красной водоросли, главным образом из Gelidium, Gracilaria и Pterocladia. Агар фармацевтического качества Eur. Ph. и USP. Специально разработан для применения в фармацевтической и медицинской промышленности (приготовление суспензий, эмульсий, спреев, таблеток, капсул и кремов). Внешний вид белый порошок Потери при высушивании, % не более 20 EP Identification test ABCD сдан USP Identification AB сдан Прочность геля 1,5%, г/см² не менее 750 Температура плавления, °C 85 ± 5 Температура гелеобразования, °C 35 ± 3 Прозрачность, NTU не более 15 Индекс набухания не более 10 Водопоглощение не более 75 Нерастворимая фракция, % не более 1 Поглощение, 430 нм не более 0,25 Размер частиц, сито 60, % не менее 95 Мышьяк, ppm 3 Свинец, % 0.001 Тяжелые металлы, % 0.004 Отсутствие инородного крахмала сдан Желатин сдан Зола, % не более 5 рН (1,5 % после автоклавирования) 7,0 рН (1,5 % перед автоклавированием) 7,2
  • Агар MYP, порошок Фото 3
1513
500 г
7 099, руб.
78,= EUR
Агар YP применяется для культивирования дрожжей. Содержит глюкозу, соли и белки, необходимые для быстрого роста Saccharomyces cerevisiae. Триптон, г/л 20,0 Бактериологический агар, г/л 15,0 Дрожжевой экстракт, г/л 10,0 рН 7,0±0,2 Растворите 45 г в 900 мл дистиллированной воды, нагрейте до полного растворения, стерилизуйте в автоклаве 15 мин при 121 °C, храните при 4 °C.
  • Агар MYP, порошок Фото 3
1167
500 г
10 926, руб.
120,= EUR
Агар 2xYT применяется для размножения фага М13 или других бактериофагов. Богата азотом и другими необходимыми ростовыми факторами, что позволяет размножать бактериофаги в больших количествах. Триптон, г/л 16,0 Дрожжевой экстракт, г/л 10,0 Натрий хлорид, г/л 5,0 Бактериологический агар, г/л 15,0 рН 7,0±0,2 Растворите 46 г в 1 л дистиллированной воды, нагрейте до полного растворения, стерилизуйте в автоклаве 15 мин при 121 °C, храните при 4 °C.
  • Агар MYP, порошок Фото 3
CDH, Индия

Агар CLED

PM 1792.500 gm
500 г
По запросу
По запросу

Агар CLED для культивирования патогенных бактерий из мочевых путей с индикатором Андреде, CDH, 500 г, Диаэм.

  • Агар CLED, CDH
274500
274500
500 г
РУ
Регистрационное удостоверение на медицинское изделие Росздравнадзора
По запросу
По запросу
212118
2 кг
По запросу
По запросу

Агар Сальмонелла-Шигелла, дифференциальная селективная среда для выделения патогенных энтеробактерий, в частности сальмонелл; не рекомендуется для первичного выделения шигелл.


  • Агар CLED
236950
236950
500 г
РУ
Регистрационное удостоверение на медицинское изделие Росздравнадзора
По запросу
По запросу
236920
2 кг
По запросу
По запросу
236930
10 кг
По запросу
По запросу

Агар универсальный для культивирования прихотливых и неприхотливых микрооганизмов.

  • Агар CLED
DM 1641.500 gm
500 г
8 069, руб.
103,= USD


Агар Lactobacillus MRS рекомендуется для культивирования всех видов лактобацилл или обнаружения фекальных кишечных палочек в воде (питьевой, морской, сточных водах) и образцах продуктов питания.
Состав г/л
Протеозный пептон 10
Экстракт говядины 10
Дрожжевой экстракт 5,0
Декстроза 20
Полисорбат 80 1,0
Цитрат аммония 2,0
Ацетат натрия 5,0
Сульфат магния 0,1
Сульфат марганца 0,05
  • Агар MRS для лактобацилл, (Lactobacillus MRS Agar), порошок, CDH, Индия
CM1136B
500 г
18 160, руб.
200,= EUR

Агар c сердечно-мозговой вытяжкой (Brain Heart Infusion)

Рекомендуется для выращивания стрептококков, Neisseria и других привередливых организмов.

  • Агар c сердечно-мозговой вытяжкой, порошок, Thermo FS
1050
500 г
6 263, руб.
69,= EUR
Агар Левина с метиленовым синим и эозином — слабо селективная среда для исследования и дифференциации энтеробактерий, ферментирующих и неферментирующих лактозу, из молочных и других пищевых продуктов и клинических образцов; также используется для анализа материалов с повышенными санитарно-гигиеническими требованиями на наличие колиформ.
  • Агар c сердечно-мозговой вытяжкой, порошок
1062_спец
500 г
По запросу
По запросу
Агар маннит-солевой – селективная среда, которая готовится в соответствии с рекомендациями Чапмена для выделения предположительных патогенных стафилококков; большинство других бактерий ингибируются высокой концентрацией хлорида натрия.
  • Агар c сердечно-мозговой вытяжкой, порошок
238910
500 г
По запросу
По запросу

Агар на томатном соке специальный используется для культивирования и учета лактобактерий и других ацидофильных микроорганизмов из мочи и других образцов.


  • Агар c сердечно-мозговой вытяжкой, порошок
211191
500 г
По запросу
По запросу

Агар с эозином и метиленовым синим, без лактозы, используется для генетических исследований кишечных палочек.

  • Агар c сердечно-мозговой вытяжкой, порошок
256220
500 г
По запросу
По запросу

Агар Фогнля и Джонсона, используется для ранней детекции коагулазпозитивных, маннитол-ферментирующих стафилококков из клинических образцов и продуктов питания. Используется с 1% теллуритовым раствором Чапмана (кат.№ 215294).


  • Агар c сердечно-мозговой вытяжкой, порошок
210940
210940
100 г
По запросу
По запросу
210950
500 г
РУ
Регистрационное удостоверение на медицинское изделие Росздравнадзора
По запросу
По запросу
211661
2 кг
По запросу
По запросу
210930
10 кг
По запросу
По запросу

Агар Сабуро с глюкозой используется для культивирования патогенных и непатогенных грибов; среда становится более селективной для грибов при добавлении антимикробных препаратов.


  • Агар c сердечно-мозговой вытяжкой, порошок
268620
268620
500 г
хранение +4°C
РУ
Регистрационное удостоверение на медицинское изделие Росздравнадзора
По запросу
По запросу
268610
10 кг
РУ
Регистрационное удостоверение на медицинское изделие Росздравнадзора
По запросу
По запросу

Агар D/E (Дея-Энгли) для нейтрализации обладает способностью нейтрализовать антимикробные химикаты и используется для определения антибактериальной активности антисептиков и дезинфектантов.


  • Агар c сердечно-мозговой вытяжкой, порошок
241820
241820
100 г
РУ
Регистрационное удостоверение на медицинское изделие Росздравнадзора
По запросу
По запросу
241830
500 г
РУ
Регистрационное удостоверение на медицинское изделие Росздравнадзора
По запросу
По запросу
241810
2 кг
По запросу
По запросу

Агар с сердечно-мозговой вытяжкой для культивирования требовательных микроорганизмов, в частности грибов и дрожжей; используется с добавлением антибиотиков.

  • Агар c сердечно-мозговой вытяжкой, порошок
226540
500 г
По запросу
По запросу

Агар для дифференциации грамотрицательных энтеробактерий, основанной на ферментации углеводов и выделении сероводорода.


  • Агар c сердечно-мозговой вытяжкой, порошок
258710
500 г
29 703, руб.
2 576 CNY

Агар с дихлораном, бенгальским розовым и хлорамфениколом для роста дрожжей и плесневых грибов, ингибирует рост бактерий и поверхностный рост быстрорастущих плесеней.

  • Агар c сердечно-мозговой вытяжкой, порошок
218591
500 г
По запросу
По запросу

Агар рекомендован для предприятий молочной промышленности для подсчета микроорганизмов в жидком молоке, мороженном, сухом молоке и сыворотке.

  • Агар c сердечно-мозговой вытяжкой, порошок
211221
500 г
По запросу
По запросу

Агар Левина с эозином и метиленовым синим является слабоселективной и дифференциальной плотной средой для выделения грамотрицательных кишечных бактерий.


  • Агар c сердечно-мозговой вытяжкой, порошок
253610
500 г
РУ
Регистрационное удостоверение на медицинское изделие Росздравнадзора
По запросу
По запросу

Агар общего назначения для выделения анаэробных микроорганизмов.

  • Агар c сердечно-мозговой вытяжкой, порошок
3346.0500
3346.0500
500 г
6 356, руб.
70,= EUR
3346.5000
5 кг
По запросу
По запросу
3346.25000
25 кг
По запросу
По запросу

Агар изготавливается из нескольких видов красной водоросли, главным образом из Gelidium, Gracilaria и Pterocladia. Агар бактериологический европейский тип является желирующим агентом, применяемый в приготовлении микробиологических сред. Важной особенностью этого агара является отсутствие ингибиторов, которые могли бы повлиять на рост микроорганизмов. У агара бактериологического европейского типа отличная прозрачность и очень хорошая воспроизводимость. Каждая партия тестируется по биологическим показателям, чтобы обеспечить отсутствие ингибиторов и хороший рост микроорганизмов.



Цвет Светло-кремового цвета
Растворимость растворим
Сила геля после автоклавирования, г/см2 750-950
Потери при высушивании max. 10%
Зольность max. 4%
PH (1,5%р-р)после автоклавирования 6,0-7,5
Температура плавления (1,5%) 85-90 ̊С
Ткмпература гелеобразоапния (1,5%) 34-36 ̊С
Са, ppm max. 4000
Mg, ppm max. 1200
Токсические вещества отсутствуют
  • Агар-агар бактериологический, сила геля более 800 г/см², европейский тип
1303
500 г
8 491, руб.
94,= EUR

Модификация Агара CLED для культивирования патогенных бактерий из мочевых путей с индикатором Андреде; неселективная твердая среда для культивирования патогенов из мочевых путей; имеет такой же состав, как Агар CLED (кат. № 1016), но с добавлением индикатора Андраде; способствует обнаружению колоний и идентификации микроорганизмов при добавлении кислого фуксина; аналог российской среды агар цистин-лактоза-электролит-дефицитный с индикатором Андреде , КЛЭД агар.

  • Агар-агар бактериологический, сила геля более 800 г/см², европейский тип
214220
214220
100 г
По запросу
По запросу
214230
500 г
По запросу
По запросу

Тщательно промытый и отбеленный агар; используется в приложениях, требующих исключительной прозрачности и высокой степени чистоты агара; подходит для иммунодиффузии, некоторых электрофоретических задач и как основа для приготовления сред для культур млекопитающих и растительных тканей.

Синонимы: Agar-agar, Gum agar, агар, гуммиагар.

CAS-No. 9002-18-0 Химическая формула (C12H18O9)n Внешний вид белые сыпучие гомогенные гранулы Растворимость не растворяется в холодной воде, растворяется при кипячении в дистиллированной или деионизированной воде Внешний вид 1,5%-ного раствора от бесцветного до бледно-желтого, слегка опалесцирующий Потери при высушивании, % ≤ 20 Зола, % ≤ 2 Кальций, мг/г (ppm) ≤ 1000 Магний, мг/г (ppm) ≤ 400 Точка плавления, °С ≥85 Точка гелеобразования, °С 32-39 Прочность геля 1,5 %, г / см² 700 Электроэндоосмос, ЕЕО ≤ 0,55 Условия хранения в сухом месте при комнатной температуре


Скачать брошюру: Состав сред для исследовательских задач микробиологии и молекулярной генетики, брошюра, англ., 7 стр., 508 kB

  • Агар-агар бактериологический, сила геля более 800 г/см², европейский тип
281230
281230
500 г
РУ
Регистрационное удостоверение на медицинское изделие Росздравнадзора
29 172, руб.
2 530 CNY
281210
2 кг
РУ
Регистрационное удостоверение на медицинское изделие Росздравнадзора
По запросу
По запросу

Для большинства микробиологических задач; имеет невысокую степень очистки, более широкие технические характеристики, чем другие виды агара; не рекомендован для выращивания прихотливых микроорганизмов.

Синонимы: Agar-agar, Gum agar, агар, гуммиагар.

CAS-No. 9002-18-0 Химическая формула (C12H18O9)n Внешний вид светло-бежевый сыпучий гомогенный материал Растворимость не растворяется в холодной воде, растворяется при кипячении в дистиллированной или деионизированной воде Внешний вид 1,5%-ного раствора светло-янтарный, слегка опалесцирующий Потери при высушивании, % ≤ 20 Зола, % ≤ 6,5 Кальций, мг/г (ppm) ≤ 3000 Магний, мг/г (ppm) ≤ 1300 Точка плавления, °С ≥ 85 Точка гелеобразования, °С 32-39 Прочность геля 1,5 %, г / см² 613 Условия хранения в сухом месте при комнатной температуре


Скачать брошюру: Состав сред для исследовательских задач микробиологии и молекулярной генетики, брошюра, англ., 7 стр., 508 kB

  • Агар-агар бактериологический, сила геля более 800 г/см², европейский тип
1432
500 г
7 573, руб.
83,= EUR
Среда, специально разработанная для увеличения бактериального роста и получения большого количества низкокопийных плазмид и особо большого количества высококопийных плазмид. Для получения большего выхода плазмид рекомендуется использовать бульон sLB для размножения E. coli. Запатентованная специальная смесь пептонов, дрожжевой экстракт, агар и соли обеспечивают питательными веществами, необходимыми для роста и поддержания культуры E. coli. Натрий хлорид поддерживает необходимый осмос. Бактериологический агар является желирующим агентом. Специальная смесь пептонов, г/л Дрожжевой экстракт, г/л Соли, г/л Бактериологический агар, г/л рН 7,0±0,2 Растворите 55 г в 1 л дистиллированной воды, нагрейте до полного растворения, стерилизуйте в автоклаве 15 мин при 121 °C, храните при 8-15 °C.
  • Агар sLB, повышенный выход плазмид, Импорт
910780.100 gm
100 г
3 916, руб.
50,= USD

Синонимы: Agar-agar, Gum agar, Агар-агар, гуммиагар.



CAS-No. 9002-18-0
Внешний вид Пудра кремового цвета без запаха.
Растворимость Не растворяется в холодной воде, спирте. Медленно растворяется в горячей воде, образуя вязкий раствор.
pH при 25 °C 6,0-8,0
Температура гелеобразования, °C 30-360
Плотность геля при температуре, г/см² 750-900
Вода, % Не более 7,0
Зола, % Не более 4,0
Желатин Не обнаружен
Крахмал Не обнаружен
ДНКазы/РНКазы/протеазы Не обнаружены
Идентификация опасности (опасностей)
Классификация веществ или смесей:
безопасное вещество или смесь согласно Регламенту (ЕС) No. 1272/2008.
Элементы маркировки:
символ факторов риска, сигнальное слово, краткая характеристика опасности, предупреждение(я) о мерах предосторожности не требуются.
Прочие виды опасности — нет.
  • Агар для молекулярной микробиологии, CDH, Индия
214050
214050
100 г
33 681, руб.
2 921 CNY
214030
2 кг
124 247, руб.
10 776 CNY
214040
10 кг
По запросу
По запросу
Синонимы: Agar-agar, Gum agar, агар, гуммиагар.

Описание: желирующий агент, в котором сведены к минимуму посторонние примеси, как медь и железо; оптимизированный состав магния и кальция; для клинических исследований, исследований ауксотрофного роста, трансформации бактерий, дрожжей. CAS-No. 9002-18-0 Химическая формула (C12H18O9)n Внешний вид: светло-бежевые сыпучие гомогенные гранулы с характерным запахом
Растворимость: не растворяется в холодной воде, растворяется при кипячении в дистиллированной или деионизированной воде
Внешний вид 1,5%-ного р-ра: светло-янтарный, слегка опалесцирующий
Потери при высушивании, % 16 - 20
Зола, % ≤ 6,5
Ca, мг/г (ppm) 300 - 3000
Mg, мг/г (ppm) 50 - 1000
Точка плавления, ° С 83 - 89
Точка гелеобразования, ° С 32 - 39
При производстве этого продукта не использовались ингредиенты животного происхождения
Условия хранения: комнатная температура


Скачать брошюру: Состав сред для исследовательских задач микробиологии и молекулярной генетики, брошюра, англ., 7 стр., 508 kB

  • Агар
214530
214530
500 г
200 315, руб.
200 315, руб. RUB
214510
2 кг
По запросу
По запросу
214520
10 кг
По запросу
По запросу

Основа для культивирования рекомбинантных штаммов E.coli и S.cerevisiae; также может быть использован для основных задач бактериологии, где прозрачность не является строгим требованием.

Синонимы: Agar-agar, Gum agar, агар, гуммиагар.

Скачать брошюру: Состав сред для исследовательских задач микробиологии и молекулярной генетики, брошюра, англ., 7 стр., 508 kB



CAS-No. 9002-18-0
Химическая формула (C₁₂H₁₈O₉)n
Внешний вид светло-бежевые сыпучие гомогенные гранулы
Растворимость не растворяется в холодной воде, растворяется при кипячении в дистиллированной или деионизированной воде
Внешний вид 1,5%-ного раствора светло-янтарный, слегка опалесцирующий
Потери при высушивании, % не более 20
Зола, % не более 6,5
Кальций, мг/г (ppm) 300-2500
Магний, мг/г (ppm) 50-1000
Точка плавления, °С 83-89
Точка гелеобразования, °С 32-39
Прочность геля 1,5 %, г / см² 560
Условия хранения в сухом месте при комнатной температуре
  • Агар
212304
500 г
РУ
Регистрационное удостоверение на медицинское изделие Росздравнадзора
По запросу
По запросу

Специальный агар, содержащий минералы, необходимые для бактериального роста; при использовании в качестве ингредиента большинства сред наблюдается улучшение ростовых и тестируемых характеристик культур.

Синонимы: Agar-agar, Gum agar, агар, гуммиагар.

Скачать брошюру: Состав сред для исследовательских задач микробиологии и молекулярной генетики, брошюра, англ., 7 стр., 508 kB



CAS-No. 9002-18-0
Химическая формула (C12H18O9)n
Внешний вид светло-кремовый гомогенный материал
Растворимость не растворяется в холодной воде, растворяется при кипячении в дистиллированной или деионизированной воде
Внешний вид 1,5%-ного раствора от бесцветного до светло-бежевого
pH при 25°C 5.5-7.5
Потери при высушивании, % 5-11
Зола, % 3,0-6,5
Точка плавления, °С 80-90
Точка гелеобразования, °С 33-38
Прочность геля 1,5 %, г / см² 600-800
Условия хранения в сухом месте при комнатной температуре
  • Агар
214010.0454
454 г
РУ
Регистрационное удостоверение на медицинское изделие Росздравнадзора
21 216, руб.
21 216, руб. RUB
Синонимы: Agar-agar, Gum agar, агар, гуммиагар.

CAS-No. 9002-18-0
Химическая формула C12H18O9)n Внешний вид светло-бежевые сыпучие гомогенные гранулы с характерным запахом
Растворимость не растворяется в холодной воде, растворяется при кипячении в дистиллированной или деионизированной воде
Внешний вид 1,5%-ного раствор светло-янтарный, слегка опалесцирующий
Потери при высушивании, % 16-20
Зола, % ≤ 6,5
Кальций, мг/г (ppm) 300-3000
Магний, мг/г (ppm) 50-1000
Точка плавления, °С 83-89
Точка гелеобразования, °С 32-39
Условия хранения в сухом месте при комнатной температуре
Индекс риска (R): 22-36/37/38 Индекс безопасности (S): 26-36-24/25 При производстве этого продукта не использовались ингредиенты животного происхождения

Индекс риска

R22Опасно при проглатывании
R36Вызывает раздражение глаз
Индекс риска (R)
22-36/37/38 Индекс безопасности (S): 26-36-24/25 При производстве этого продукта не использовались ингредиенты животного происхождения
  • Агар
218051
500 г
По запросу
По запросу

Этот агар используют для выделения и культивирования, а также определения чувствительности методом разведения в агаре анаэробных бактерий.


Индекс риска

R22Опасно при проглатывании
R36Вызывает раздражение глаз
Индекс риска (R)
22-36/37/38 Индекс безопасности (S): 26-36-24/25 При производстве этого продукта не использовались ингредиенты животного происхождения
  • Агар
DM 1096H.500 gm
500 г
6 396, руб.
82,= USD


Картофельный декстрозный агар рекомендуется для культивирования дрожжей и плесневых грибов из фармацевтических продуктов в соответствии с тестированием микробного предела по гармонизированной методологии USP/EP/BP/JP.
Состав г/л
Настой из картофеля 200
Декстроза 20
Агар 15
pH 5,6±0,2

Индекс риска

R22Опасно при проглатывании
R36Вызывает раздражение глаз
Индекс риска (R)
22-36/37/38 Индекс безопасности (S): 26-36-24/25 При производстве этого продукта не использовались ингредиенты животного происхождения
  • Агар картофельно-декстрозный, (Potato Dextrose Agar), порошок, CDH, Индия
CM1153B
CM1153B
500 г
По запросу
По запросу
CM1153R
2,5 кг
131 546, руб.
131 546, руб. RUB
Среда MRS (ISO) для подсчета и выделения мезофильных молочнокислых бактерий из образцов пищевых продуктов. Агар MRS (ISO) стимулирует рост молочнокислых бактерий, включая виды следующих родов: Lactobacillus, Streptococcus, Pediococcus и Leuconostoc.

  • Соответствует стандартам ISO 15214: 1998;
  • улучшенная эффективность по сравнению со средой томатного сока Briggs и средой томатного сока с мясным экстрактом de Man.

MRS (ИСО) Агар был разработан в соответствие формулировки, указанной в ISO 15214: 1998 Горизонтальный метод подсчета мезофильных молочнокислых бактерий колонии методом подсчета при 30 °С.

Среда демонстрирует некоторую степень селективности, однако, если загрязнение образцов пищевых продуктов дрожжами и плесенью вызывает беспокойство, эти микроорганизмы можно подавить добавлением селективных агентов, таких как сорбиновая кислота, ципрофлоксацин или клиндамицин.

Полное описание и инструкция по приготовлению питательной среды СМ1153

Каталог микробиологической продукции Oxoid FS, анг., 94 стр

Индекс риска

R22Опасно при проглатывании
R36Вызывает раздражение глаз
Индекс риска (R)
22-36/37/38 Индекс безопасности (S): 26-36-24/25 При производстве этого продукта не использовались ингредиенты животного происхождения
  • Агар MRS, ISO
CM0003B
CM0003B
500 г
41 729, руб.
251 160 KZT
CM0003R
2,5 кг
По запросу
По запросу
CM0003K
25 кг
По запросу
По запросу
Является основной питательной средой для поддержания роста контрольных микроорганизмов или для проверки чистоты культуры перед проведением биохимического или серологического анализа. Подходит для учебных и демонстрационных целей. Он содержит концентрацию агара 1,5 % для того, чтобы по мере необходимости, можно было добавить еще до 10% крови или другой биологической жидкости.

Питательная среда Основа кровяного агара No.2 (Blood Agar Base No. 2) артикул CM0271 богаче питательными компонентами.

Подробное описание, инструкция по приготовлению питательной среды


Каталог микробиологической продукции Oxoid FS, анг., 94 стр

Индекс риска

R22Опасно при проглатывании
R36Вызывает раздражение глаз
Индекс риска (R)
22-36/37/38 Индекс безопасности (S): 26-36-24/25 При производстве этого продукта не использовались ингредиенты животного происхождения
  • Агар питательный, порошок
CM0004C
CM0004C
100 шт/уп
По запросу
По запросу
CM0004D
500 шт/уп
По запросу
По запросу
Является основной питательной средой для поддержания роста контрольных микроорганизмов или для проверки чистоты культуры перед проведением биохимического или серологического анализа. Подходит для учебных и демонстрационных целей. Он содержит концентрацию агара 1,5 % для того, чтобы по мере необходимости, можно было добавить еще до 10% крови или другой биологической жидкости.

Питательная среда Основа кровяного агара No.2 (Blood Agar Base No. 2) артикул CM0271 богаче питательными компонентами.

Подробное описание, инструкция по приготовлению питательной среды


Каталог микробиологической продукции Oxoid FS, анг., 94 стр

Индекс риска

R22Опасно при проглатывании
R36Вызывает раздражение глаз
Индекс риска (R)
22-36/37/38 Индекс безопасности (S): 26-36-24/25 При производстве этого продукта не использовались ингредиенты животного происхождения
  • Агар питательный, в таблетках
113002211
113002211
227 г
По запросу
По запросу
113002221
454 г
По запросу
По запросу
113002231
1 кг
28 572, руб.
28 572, руб. RUB
113002241
5 кг
По запросу
По запросу
Среды в капсулах для культивирования бактерий, дрожжей, растений. Очень удобны в применении - не нужно взвешивать, каждая капсула имеет определенный вес: средние капсулы по 1 г, большие капсулы по 5 г. Просто бросьте капсулы в колбу с водой и автоклавируйте. Агар LB по Miller богат питательными веществами и применяется для поддержания культуры E. coli. Повышенное содержание натрий хлорида. Триптон, г/л 10,0 Дрожжевой экстракт, г/л 5,0 Натрий хлорид, г/л 10,0 Бактериологический агар, г/л 15,0 Приготовление: 40 малых по 1 г или 8 больших по 5 г капсул на 1 литр воды.

Индекс риска

R22Опасно при проглатывании
R36Вызывает раздражение глаз
Индекс риска (R)
22-36/37/38 Индекс безопасности (S): 26-36-24/25 При производстве этого продукта не использовались ингредиенты животного происхождения
  • Агар питательный, в таблетках
113002216
113002216
227 г
По запросу
По запросу
113002226
454 г
По запросу
По запросу
113002236
1 кг
По запросу
По запросу
Среды в капсулах для культивирования бактерий, дрожжей, растений. Очень удобны в применении - не нужно взвешивать, каждая капсула имеет определенный вес: средние капсулы по 1 г, большие капсулы по 5 г. Просто бросьте капсулы в колбу с водой и автоклавируйте. Агар LB по Miller богат питательными веществами и применяется для поддержания культуры E. coli. Повышенное содержание натрий хлорида. Триптон, г/л 10,0 Дрожжевой экстракт, г/л 5,0 Натрий хлорид, г/л 10,0 Бактериологический агар, г/л 15,0 Приготовление: 40 малых по 1 г или 8 больших по 5 г капсул на 1 литр воды.

Индекс риска

R22Опасно при проглатывании
R36Вызывает раздражение глаз
Индекс риска (R)
22-36/37/38 Индекс безопасности (S): 26-36-24/25 При производстве этого продукта не использовались ингредиенты животного происхождения
  • Агар питательный, в таблетках

Ваш заказ будет обработан
в ближайшее время.
Мы пришлем уведомление, как только все будет готово. Спасибо!