Top.Mail.Ru
nsk@dia-m.ru 8 (800) 234-05-08
+7 (383) 328-00-48
Ваш регион Москва?

Реактивы для молекулярной биологии — неотделимая часть ваших исследований

09.04.2025

reaktivy-dlya-molekulyarnoy-biologii--neotdelimaya-chast-vashih-issledovaniy.jpgЗа последние три года мы уделили особое внимание тщательному отбору, тестированию и совершенствованию широкого спектра реактивов, обеспечивающих стабильные и высокопроизводительные результаты в рутинных лабораторных процедурах, таких как выделение нуклеиновых кислот, обратная транскрипция, ПЦР и электрофорез нуклеиновых кислот.

Выделение ДНК, РНК

Выделение ДНК и РНК — это критически важный начальный этап, определяющий успех дальнейших исследований. Существуют различные методы выделения нуклеиновых кислот, выбор которых зависит от количества образцов, требуемой чистоты и доступного оборудования. Наиболее распространены экстракция фенол-хлороформом и автоматизированная экстракция с использованием магнитных частиц.

Органическая экстракция является экономически выгодной альтернативой коммерческим наборам и станциям, а реагенты, такие как RiZol (для РНК) и DiZol (для ДНК), позволяют быстро и недорого выделять высококачественные нуклеиновые кислоты из образцов различного происхождения.

Органическая экстракция является экономически выгодной альтернативой коммерческим наборам и станциям, а реагенты, такие как RiZol (для РНК) и DiZol (для ДНК), позволяют быстро и недорого выделять высококачественные нуклеиновые кислоты из образцов различного происхождения.
Схема выделения методом органической экстракции

Наборы diaGene на спин-колонках пользуются популярностью благодаря простоте использования и эффективности выделения геномной и плазмидной ДНК или РНК из различных источников. Магнитные частицы позволяют автоматизировать и масштабировать процесс выделения с помощью наборов diaGene, подходящих как для ручного, так и для автоматизированного применения.

Магнитные частицы позволяют автоматизировать и масштабировать процесс выделения с помощью наборов diaGene, подходящих как для ручного, так и для автоматизированного применения.
Схема выделения на спин-колонках

Для выделения ДНК из сложных образцов, таких как фекалии или почва, предлагаются наборы MP Biomedicals, обеспечивающие стабильную и чистую ДНК, пригодную для дальнейших исследований.

Для выделения ДНК из сложных образцов, таких как фекалии или почва, предлагаются наборы MP Biomedicals, обеспечивающие стабильную и чистую ДНК, пригодную для дальнейших исследований.
Набор для выделения геномной ДНК из почвы

Очищенные нуклеиновые кислоты, полученные с помощью предлагаемых наборов, готовы к использованию в стандартных молекулярно-биологических процедурах.

Обратная транскрипция

Работа с рибонуклеиновой кислотой (РНК) представляет собой более трудную задачу, чем манипуляции с дезоксирибонуклеиновой кислотой (ДНК). В отличие от относительно устойчивой ДНК, структура РНК подвержена гидролитическому расщеплению и, следовательно, менее стабильна. Кроме того, ферменты РНКазы отличаются высокой стабильностью и трудно поддаются инактивации.

Перед тем как приступить к работе с РНК, рекомендуется тщательно очистить рабочее пространство. Для этого можно использовать ингибитор РНКаз, такой как RiBond. Данный реагент эффективно подавляет активность рибонуклеаз эукариотического происхождения, включая РНКазу A, РНКазу B и РНКазу C, тем самым защищая РНК от неспецифического гидролиза.

Перед тем как приступить к работе с РНК, рекомендуется тщательно очистить рабочее пространство. Для этого можно использовать ингибитор РНКаз, такой как RiBond. Данный реагент эффективно подавляет активность рибонуклеаз эукариотического происхождения, включая РНКазу A, РНКазу B и РНКазу C, тем самым защищая РНК от неспецифического гидролиза.
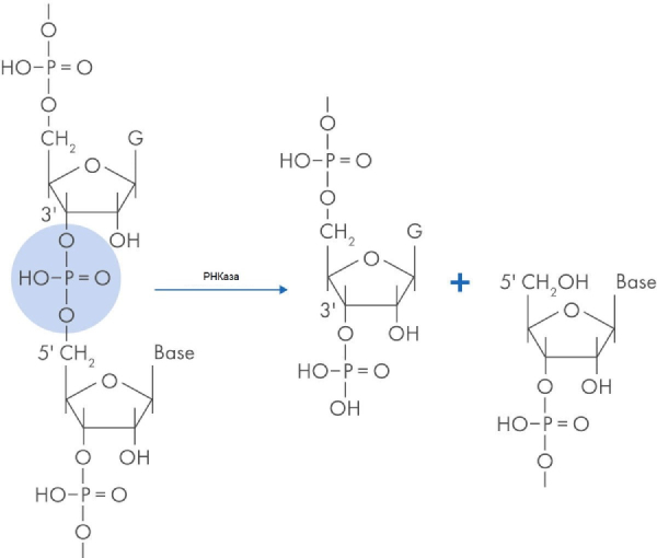
Схема показывающая активность РНКазы

Чтобы обеспечить сохранность РНК в образцах тканей или крови, рекомендуется использовать специальные продукты, такие как RiSave (для стабилизации РНК в крови или костном мозге) и Riti (для различных тканевых образцов). Эти реагенты стабилизируют РНК и предотвращают ее деградацию, избавляя от необходимости немедленной обработки или замораживания. Это позволяет хранить и транспортировать образцы при комнатной температуре без риска повреждения РНК. RiSave также предлагается в удобном формате RiTube — шприц-пробирки.

Для проведения обратной транскрипции доступны как отдельные обратные транскриптазы, так и готовые наборы для синтеза первой цепи кДНК, разработанные для работы с разными типами РНК.

Для стандартного синтеза кДНК разработан набор реагентов с обратной транскриптазой MMLV–RH, содержащий все необходимые компоненты для обратной транскрипции. MMLV–RH обратная транскриптаза оптимально активна при +42 °С и способна синтезировать первую цепь кДНК длиной до 10 тысяч нуклеотидов.

Обратная транскриптаза Smart RT демонстрирует максимальную активность при 35-42 °С, не имеет активности РНКазы Н и 3' → 5' экзонуклеазной активности. Обратная транскриптаза Smart RTT, пользующаяся наибольшим спросом, проявляет максимальную активность при 55 °С, что позволяет проводить обратную транскрипцию РНК со сложной вторичной структурой.

Для простой и удобной одностадийной ОТ-ПЦР предлагается экстра-микс Real-RT-PCR (5x). Обратная транскриптаза Smart RTT, входящая в состав экстра-микса, отличается повышенной термостабильностью и отсутствием активности РНКазы Н, что позволяет эффективно работать с РНК, имеющей сложную вторичную структуру, синтезировать более длинную кДНК, повышая специфичность и увеличивая выход ДНК.

ПЦР

ДНК-полимеразы играют важнейшую роль в процессе ПЦР. Taq ДНК-полимераза, отличающаяся термоустойчивостью, способна к амплификации ДНК до 5 тысяч пар оснований, что делает её подходящей для стандартной ПЦР.

Для обычной ПЦР созданы Taq ДНК-полимеразы с "горячим стартом", деактивированные антителами, а также RTaq ДНК-полимераза, химически инактивированная для реализации технологии "горячего старта".

В случаях использования сложных матриц, наличия ингибиторов ПЦР, а также при необходимости получения продуктов с минимальным количеством ошибок на протяженных участках ДНК, могут потребоваться ДНК-полимеразы нового поколения, значительно повышающие эффективность ПЦР.

Для высокоточной ПЦР оптимальным выбором является Super Fusion — высокоточная ДНК-полимераза с "горячим стартом", точность которой в 15 раз превосходит Taq ДНК-полимеразу. Она устойчива к ингибиторам и позволяет синтезировать сложные GC-обогащенные ампликоны до 30 тысяч пар нуклеотидов.

Для изотермической амплификации, включая LAMP, разработана Lamp ДНК-полимераза (Bst ДНК-полимераза). Этот фермент обладает выраженной вытесняющей активностью в направлении 5’- 3’ и лишен 5’-3’ и 3’-5’ экзонуклеазной активности, что делает его идеальным для данного типа амплификации.

Электрофорез нуклеиновых кислот

В лабораторных исследованиях нуклеиновых кислот и белков широко применяется гель-электрофорез. Наша компания предоставляет широкий спектр реактивов для выполнения всех стадий данного метода, включая акриламид и агарозу с различной степенью электроэндоосмоса (ЕЕО). У нас вы найдете готовые буферные растворы ТАЕ и TBE разной концентрации, маркеры молекулярной массы ДНК и РНК, растворы для подготовки образцов ДНК и РНК к нанесению на гель, а также красители для визуализации, в том числе бромистый этидий. Все предлагаемые реагенты имеются в наличии на складе или доступны для оперативной доставки.


Информация для заказа:

Пока нет данных. Перейти в каталог
Компонент-Реактив

Хлороформ, CAS 67-66-3, 99,9 %, ОСЧ

4052.1000
1 л
1 560, руб.
1 560, руб. RUB


Синонимы: трихлорметан, метилтрихлорид, хладон 20.
CAS-No. 67-66-3
Химическая формула CHCl3
Молекулярный вес, г/моль 119,38
Содержание основного вещества, % Не менее 99,0-99,4
Плотность при 20 °С, г/см3 Не более 1,473-1,483
Температура кипения при 760 мм рт. ст., °С, Не более 59,5-62,0
Массовая доля воды, % Не более 0,1
Массовая доля кислот (в пересчёте на HCl), %, Не более 0,001
Массовая доля хлоридов, % Не более 0,0001
Массовая доля свободного хлора, %, не более Испытание пройдено
Массовая доля суммы органических примесей, %, в пределах, в том числе этанол Не более 0,6-1,0
Массовая доля нелетучего остатка, % Не более 0,001

Индекс риска

R20/21/22Опасно при вдыхании, попадании на кожу и проглатывании
R36/37/38Раздражает глаза, органы дыхания и кожу
Индекс риска (R)
20/21/22-36/37/38

Индекс безопасности

S36Наденьте соответствующую защитную одежду
S26В случае попадания в глаза немедленно промыть глаза большим количеством воды и обратиться за медицинской помощью
S36/37Надеть соответствующую защитную одежду и перчатки
Индекс безопасности (S)
36-26-36/37
  • Хлороформ, 99,9 %, ОСЧ, 1 л, Компонент-Реактив
3789.0100
3789.0100
100 мл
транспортировка +4°C
12 000, руб.
12 000, руб. RUB
3789.0250
250 мл
транспортировка +4°C
24 857, руб.
24 857, руб. RUB

Реагент RiZol для выделения суммарной РНК из различных биологических образцов — это готовый к использованию реагент для выделения высококачественной суммарной РНК из образцов человеческого, животного, растительного, дрожжевого, бактериального и вирусного происхождения. Под действием реагента RiZol происходит гомогенизация биологического образца и лизис клеток, не нарушая целостность РНК за счет ингибирования действия РНКаз. Процедура выделения РНК занимает не более часа. Выделение ДНК и белков с использованием реагента RiZol — менее трех часов. Выделенная РНК может быть использована для синтеза кДНК, ОT-ПЦР, трансляции in vitro и др.

Особенности реагента RiZol

Реагент RiZol имеет следующие особенности:

  • время выделения РНК — 1 час;
  • время выделение ДНК — 3 часа;
  • полученная РНК может быть использована после выделения для ПЦР; молекулярного клонирования, блоттинга, конструирования библиотек кДНК;
  • дополнительная очистка полученной РНК после выделения не требуется.

Условия хранения и перевозки: при 20 °С в темном месте.

Индекс риска

R20/21/22Опасно при вдыхании, попадании на кожу и проглатывании
R36/37/38Раздражает глаза, органы дыхания и кожу
Индекс риска (R)
20/21/22-36/37/38

Индекс безопасности

S36Наденьте соответствующую защитную одежду
S26В случае попадания в глаза немедленно промыть глаза большим количеством воды и обратиться за медицинской помощью
S36/37Надеть соответствующую защитную одежду и перчатки
Индекс безопасности (S)
36-26-36/37
  • Хлороформ
3790.0100
3790.0100
100 мл
12 000, руб.
12 000, руб. RUB
3790.0250
250 мл
24 000, руб.
24 000, руб. RUB
3319.0050
3319.0050
50 выделений
4 337, руб.
4 337, руб. RUB
3319.0250
250 выделений
15 300, руб.
15 300, руб. RUB
Набор предназначен для выделения ДНК из культур животных клеток. Выделение ДНК начинается с лизиса клеток, очистка нуклеиновой кислоты происходит за счёт связывания ДНК с сорбентом колонок diaGene. Связанная ДНК отмывается от примесей и элюируется в виде чистого препарата. Выход ДНК зависит от типа и количества клеток, поэтому надо учитывать, что ёмкость колонок — до 20 мкг нуклеиновой кислоты.

Набор diaGene для выделения ДНК из культур клеток, инструкция по применению, Диаэм, русск., 2 стр.

Индекс риска

R20/21/22Опасно при вдыхании, попадании на кожу и проглатывании
R36/37/38Раздражает глаза, органы дыхания и кожу
Индекс риска (R)
20/21/22-36/37/38

Индекс безопасности

S36Наденьте соответствующую защитную одежду
S26В случае попадания в глаза немедленно промыть глаза большим количеством воды и обратиться за медицинской помощью
S36/37Надеть соответствующую защитную одежду и перчатки
Индекс безопасности (S)
36-26-36/37
3316.0050
3316.0050
50 выделений
транспортировка -8...+2°C
5 163, руб.
5 163, руб. RUB
3316.0250
250 выделений
хранение комбинированный, транспортировка комбинированный
16 600, руб.
16 600, руб. RUB
Набор предназначен для выделения до 25 мкг плазмидной ДНК длиной до 20 т.п.н. из 3-5 мл бактериальной культуры. Очистка ДНК на колонках diaGene происходит за счёт избирательного связывания ДНК с сорбентом в присутствии хаотропной соли с последующей отмывкой связанной ДНК от примесей и заканчивается элюцией чистого препарата ДНК.

Выход ДНК зависит от ряда факторов: копийности плазмиды, условий роста, объёма культуры и т.д.

Не рекомендуется использовать для выделения плазмид длиной свыше 50 тысяч пар нуклеотидов, а также для получения препарата плазмидной ДНК для трансфекции эукариотических клеток.

Набор diaGene для выделения плазмидной ДНК из бактерий, diaGene, инструкция по применению, Диаэм, русск., 2 стр.

Индекс риска

R20/21/22Опасно при вдыхании, попадании на кожу и проглатывании
R36/37/38Раздражает глаза, органы дыхания и кожу
Индекс риска (R)
20/21/22-36/37/38

Индекс безопасности

S36Наденьте соответствующую защитную одежду
S26В случае попадания в глаза немедленно промыть глаза большим количеством воды и обратиться за медицинской помощью
S36/37Надеть соответствующую защитную одежду и перчатки
Индекс безопасности (S)
36-26-36/37
116570200
50 выделений
36 429, руб.
36 429, руб. RUB

Набор FastDNA Spin for Feces быстро и эффективно выделяет геномную ДНК из свежих или замороженных образцов экскрементов человека и животных, а также из почвы, водоемов, сточных вод, ила и др. Рекомендовано использовать с гомогенизатором FastPrep или с альтернативным прибором.

Клетки-хозяева, а также клетки бактерий, грибов, простейших и другие клетки, присутствующие в образцах фекалий легко лизируются в течение 40 секунд.

Разрушение клеток в гомогенизаторе обеспечивается угловым движением адаптера с траекторией в форме «восьмёрки» с одновременной разнонаправленной бомбардировкой образцов лизирующими матрицами, находящимися в пробирках вместе с буферным раствором, что обеспечивает высокую воспроизводимость, превосходящую традиционную методы выделения.

Образцы помещают в 2 мл пробирки, содержащие Лизирующий матрикс E – смесь, содержащую стеклянные (диаметр 4 мм), кварцевые (диаметр 0,1 мм) и керамические (диаметр 1,4 мм) шарики, способные эффективно лизировать экскременты любых организмов.

Образцы предварительно промываются подготовительным буфером.

Гомогенизация проводится в присутствии MT буфера и натриевого фосфатного буфера. Реагенты для предварительно лизиса и лизиса были тщательно разработаны, чтобы защитить от растворения нуклеиновые кислоты при лизисе клеток, облегчают получение геномной ДНК, РНК и сводят к минимуму контаминацию от гуминовых кислот и полифенолов.

По завершении лизиса образцы центрифугируются, в результате чего образуется осадок из разрушенных частиц и матрицы.

Для выделения ДНК из супернатанта используется технология GENECLEAN, применяющая силикагелевые спин-фильтры.

Элюированная ДНК полностью готова к использованию для электрофореза, ПЦР и другим исследованиям.


Спецификация: Тип набора: для выделения НК Тип пробы: Почва, экскременты, вода из водоемов, сточные воды, ил. Пробирки: 2 мл Совместимы с гомогенизатором: FastPrep-24 и FastPrep-96 Состав матрицы: Матрица E: 1.4 мм керамический шарик, 0.1 мм кварцевый шарик и один 4 мм стеклянный шарик. Выделяемые молекулы: ДНК
Состав набора:
  • Лизирующий матрикс Е в пробирках, 50×2,0 мл;
  • спин – колонки, 50 шт;
  • пробирк-ловушки для сбора чистой ДНК, 50 шт;
  • подготовительный буфер, 25 мл;
  • буфер MT, 8 мл;
  • натрия фосфатный буфер, 100 мл;
  • раствор PPS для осаждения белков, 25 мл;
  • связывающий матрикс, 66 мл;
  • промывочный буфер №1, 120 мл;
  • промывочный буфер №2, 12 мл;
  • раствор TES для элюирования, 20 мл;
  • краситель BBS для геля, 200 мкл;
  • паспорт безопасности MSDS;
  • сертификат анализа.

Необходимые материалы, не входящие в комплект (не поставляются): Гомогенизатор FastPrep или альтернативный прибор с высокой скоростью вращения (микроцентрифуга), в который можно свободно устанавливать для вращения 2,0 мл пробирки; микроцентрифужные пробирки (2,0 мл или 1,5 мл); 15 мл стерильные пробирки для связывания ДНК; ротатор, 100% этанол.

Условия хранения и транспортировки: 15 – 30 °C.

Индекс риска

R20/21/22Опасно при вдыхании, попадании на кожу и проглатывании
R36/37/38Раздражает глаза, органы дыхания и кожу
Индекс риска (R)
20/21/22-36/37/38

Индекс безопасности

S36Наденьте соответствующую защитную одежду
S26В случае попадания в глаза немедленно промыть глаза большим количеством воды и обратиться за медицинской помощью
S36/37Надеть соответствующую защитную одежду и перчатки
Индекс безопасности (S)
36-26-36/37
  • Набор для выделения ДНК из фекалий/FastDNA Spin Kit for Feces, 50 выделений
116560200
50×2,0 мл
39 357, руб.
39 357, руб. RUB

Набор для выделения ДНК из клеток, присутствующих в почве или других экологических пробах (экскременты, вода из водоемов, сточные воды, ил) до 300 мг. Рекомендуется использовать с гомогенизатором FastPrep или с альтернативным прибором.

Набор для почвы эффективно менее чем за 30 минут выделяет из почвы геномную ДНК, готовую к использованию в ПЦР.

Растительные и животные ткани, бактерии, водоросли, споры грибов и другие почвенные организмы легко лизируются в течение 40 секунд.

Разрушение клеток в гомогенизаторе обеспечивается угловым движением адаптера с траекторией в форме «восьмёрки» с одновременной разнонаправленной бомбардировкой образцов лизирующими матрицами, находящимися в пробирках вместе с буферным раствором, что обеспечивает высокую воспроизводимость, превосходящую традиционную методы выделения.

До 500 мг почвенной пробы помещают в 2 мл пробирки, содержащие Лизирующую матрицу E – смесь стеклянных (4 мм в диаметре), кварцевых (0,1 мм в диаметре) и керамических (1,4 мм в диаметре) шариков, способных эффективно разрушать все почвенные организмы, включая трудные для лизиса споры эубактерий, эндоспоры, грамположительные бактерии, дрожжи, водоросли, нематоды и грибы.

Гомогенизация происходит в присутствии МТ буфера и буфера фосфата натрия, реагенты для лизиса были тщательно разработаны, чтобы защитить от растворения нуклеиновые кислоты и белки при лизисе клеток. Эти реагенты эффективно работают вместе, облегчая выделение ДНК, максимально снижая контаминацию от РНК. По завершению лизиса образцы центрифугируются, в результате чего образуется осадок из разрушенных частиц почвы, мусора и матрицы. Полученную ДНК очищают, используя технология GENECLEAN , применяющая силикагелевые фильтры SPIN и устраняющая гуминовые кислоты и полифенолы, которые могут препятствовать ПЦР.

Элюированная ДНК полностью готова к использованию для электрофореза, ПЦР и другим исследованиям.

Спецификация: Тип набора: для выделения НК. Тип пробы: почва, экскременты, вода из водоемов, сточные воды, ил. Пробирки: 2 мл Совместимы с гомогенизатором: FastPrep-24 и FastPrep-96 Состав матрицы: матрица E: 1,4 мм керамический шарик, 0,1 мм кварцевый шарик и один 4 мм стеклянный шарик. Выделяемые молекулы: ДНК Состав набора:
  • Лизирующий матрикс Е в пробирках, 50×2,0 мл; спин–колонки, 50 шт;
  • пробирки-ловушки для сбора чистой ДНК, 50 шт;
  • буфер MT, 8 мл;
  • натрия фосфатный буфер, 60 мл;
  • раствор PPS для осаждения белков, 25 мл;
  • связывающий матрикс, 66 мл;
  • концентрированный промывочный раствор, 12 мл;
  • раствор для элюции ДНК 20 мл;
  • краситель BBS для геля, 200 мкл;
  • паспорт безопасности MSDS;
  • сертификат анализа.

Необходимые материалы, не входящие в комплект (не поставляются): Гомогенизатор FastPrep или альтернативный прибор с высокой скоростью вращения (микроцентрифуга), в который можно свободно устанавливать для вращения 2,0 мл пробирки; микроцентрифужные пробирки (2,0 мл или 1,5 мл); 15 мл стерильные пробирки для связывания ДНК; ротатор.

Условия хранения и транспортировки: 15–30 °C.

Листовка по экстракции ДНК из андосоля, вулканической почвы здесь

Индекс риска

R20/21/22Опасно при вдыхании, попадании на кожу и проглатывании
R36/37/38Раздражает глаза, органы дыхания и кожу
Индекс риска (R)
20/21/22-36/37/38

Индекс безопасности

S36Наденьте соответствующую защитную одежду
S26В случае попадания в глаза немедленно промыть глаза большим количеством воды и обратиться за медицинской помощью
S36/37Надеть соответствующую защитную одежду и перчатки
Индекс безопасности (S)
36-26-36/37
  • Набор для выделения геномной ДНК из почв / FastDNA Spin Kit For Soil, 50 выделений
3784.2000
3784.2000
2000 e.a.
хранение -20°C
6 181, руб.
6 181, руб. RUB
3784.10000
10000 e.a.
хранение -20°C
28 281, руб.
28 281, руб. RUB

Ингибитор РНКаз RiBond ингибирует рибонуклеазную активность эукариотических ферментов, таких как РНКаза A, РНКаза B, РНКаза C, и защищает РНК от неспецифического гидролиза. Представляет собой рекомбинантный белок массой 50 кДа, экспрессируемый в E.coli, предназначен для использования в приложениях, где присутствие РНКаз может снизить качество результатов экспериментов, например при выделении РНК, синтезе кДНК, ОТ-ПЦР, транскрипции и трансляции in vitro.

Условия хранения: -20 °С.


Индекс риска

R20/21/22Опасно при вдыхании, попадании на кожу и проглатывании
R36/37/38Раздражает глаза, органы дыхания и кожу
Индекс риска (R)
20/21/22-36/37/38

Индекс безопасности

S36Наденьте соответствующую защитную одежду
S26В случае попадания в глаза немедленно промыть глаза большим количеством воды и обратиться за медицинской помощью
S36/37Надеть соответствующую защитную одежду и перчатки
Индекс безопасности (S)
36-26-36/37
  • Набор для выделения геномной ДНК из почв / FastDNA Spin Kit For Soil, 50 выделений
3788.0100
3788.0100
100 мл
19 700, руб.
19 700, руб. RUB
3788.0250
250 мл
35 500, руб.
35 500, руб. RUB

Реагент RiSave для стабилизации и хранения РНК в образцах крови или костного мозга для последующего анализа предназначен для стабилизации и хранения внутриклеточной мРНК из периферической крови или костного мозга, что актуально в случаях транспортировки, либо при длительном хранении биоматериала для последующего выполнения молекулярно-генетических исследований. Реагент содержит в своем составе вещества, стабилизирующие мРНК, что обеспечивает максимально близкие по отношению к нативному биоматериалу значения экспрессии исследуемых генов.

Особенности реагента RiSave

Реагент RiSave имеет следующие особенности:

  • стабилизирует РНК в образцах крови или костного мозга;
  • незаменим при анализе экспрессии генов;
  • пригоден для длительного хранения образцов без деградации РНК;
  • совместим с реагентом RiZol для последующего выделения РНК;
  • хранение и использование при комнатной температуре.

Рекомендации по условиям хранения и транспортировки образцов крови и костного мозга с использованием реагента для стабилизации РНК:

  • комнатная температура (от 18 до 25 °С) — 3 суток;
  • хранение в холодильнике (от 2 до 8 °С) — 5 суток;
  • заморозка (от -20 до -70 °С) — до 8 лет.

Условия хранения: 18-25 °C.

Индекс риска

R20/21/22Опасно при вдыхании, попадании на кожу и проглатывании
R36/37/38Раздражает глаза, органы дыхания и кожу
Индекс риска (R)
20/21/22-36/37/38

Индекс безопасности

S36Наденьте соответствующую защитную одежду
S26В случае попадания в глаза немедленно промыть глаза большим количеством воды и обратиться за медицинской помощью
S36/37Надеть соответствующую защитную одежду и перчатки
Индекс безопасности (S)
36-26-36/37
  • Набор для выделения геномной ДНК из почв / FastDNA Spin Kit For Soil, 50 выделений
3787.0100
3787.0100
100 мл
11 733, руб.
11 733, руб. RUB
3787.0250
250 мл
14 571, руб.
14 571, руб. RUB

Реагент Riti для стабилизации РНК в разнообразных образцах тканей: головного мозга, сердца, почки, селезенки, печени, яичек, скелетной мышцы, жировой ткани, легких и тимуса, быстро проникает в ткань и стабилизирует клеточную РНК при комнатной температуре, одинаково эффективен для выделения различных типов РНК.

Особенности реагента Riti

Реагент Riti имеет следующие особенности:

  • позволяет не проводить немедленную заморозку образца в жидком азоте или выделение РНК с последующей обратной транскрипцией;
  • стабилизирует РНК в разнообразных образцах тканей;
  • быстро проникает в ткань и стабилизирует клеточную РНК при комнатной температуре;
  • используется для длительного хранения образцов тканей без деградации РНК.
  • совместим с реагентом RiZol, реагентом TRIzol или иными коммерчески доступными наборами для последующего выделения РНК из ткани;
  • перед выделением РНК достаточно просто удалить реагент, дополнительная пробоподготовка при этом не требуется;
  • при изоляции взвеси клеток желательно ресуспендировать их в небольшом объеме PBS.

Реагент сохраняет РНК в тканях в течение:

  • 1 день при 37 °C;
  • 1 неделю при 25 °C;
  • 1 месяц при 4 °C;
  • до 1 года при -20 °C.

Условия хранения: 18-25 °C.

Индекс риска

R20/21/22Опасно при вдыхании, попадании на кожу и проглатывании
R36/37/38Раздражает глаза, органы дыхания и кожу
Индекс риска (R)
20/21/22-36/37/38

Индекс безопасности

S36Наденьте соответствующую защитную одежду
S26В случае попадания в глаза немедленно промыть глаза большим количеством воды и обратиться за медицинской помощью
S36/37Надеть соответствующую защитную одежду и перчатки
Индекс безопасности (S)
36-26-36/37
  • Набор для выделения геномной ДНК из почв / FastDNA Spin Kit For Soil, 50 выделений
3786
25 шт.
47 930, руб.
47 930, руб. RUB

Шприц-пробирки RiTube предназначены для стабилизации и хранения внутриклеточной мРНК из периферической крови или костного мозга, для транспортировки, или длительного хранения биоматериала для последующего выполнения молекулярно-генетических исследований. Реагент содержит в своем составе вещества, стабилизирующие мРНК, что при последующих исследованиях обеспечивает максимально близкие по отношению к значениям экспрессии исследуемых генов в нативном биоматериале.

Шприц-пробирки RiTube с биообразцами следует хранить в вертикальном положении. В случае долгосрочного хранения образцов в холодильнике при температуре 2 – 8 °C или в морозильной камере (-20 °C) требуется предварительная экспозиция при комнатной температуре (но не выше 25 °С) не менее 4 часов. При глубокой заморозке при температуре -80 °C, образцы следует предварительно заморозить при -20 °C в течении 24 часов, после чего можно перенести замороженные образцы на хранение при температуре -80 °C.

Рекомендации по хранению биообразцов периферической крови в шприц-пробирках:

  • 4 – 72 часа при 18–25 °C;
  • 4 – 120 часов при 2–8 °C;
  • 4 часов — 6 месяцев при -20 °C.

Условия хранения: 18 – 25 °C.

Индекс риска

R20/21/22Опасно при вдыхании, попадании на кожу и проглатывании
R36/37/38Раздражает глаза, органы дыхания и кожу
Индекс риска (R)
20/21/22-36/37/38

Индекс безопасности

S36Наденьте соответствующую защитную одежду
S26В случае попадания в глаза немедленно промыть глаза большим количеством воды и обратиться за медицинской помощью
S36/37Надеть соответствующую защитную одежду и перчатки
Индекс безопасности (S)
36-26-36/37
  • Нет фото
1967.0050
1967.0050
50 реакций
хранение -20°C, транспортировка +4°C
6 666, руб.
6 666, руб. RUB
1967.0250
250 реакций
хранение -20°C, транспортировка +4°C
26 277, руб.
26 277, руб. RUB
Набор реактивов для обратной транкрипции с MMLV–RH представляет собой полную систему для эффективного синтеза первой цепи кДНК с использованием в качестве матрицы мРНК или суммарной РНК. Набор содержит все необходимые компоненты для проведения обратной транскрипции: обратную транскриптазу MMLV–RH, два варианта 5× ОТ-буфера, смесь dNTP, раствор ДТТ, растворы олиго(dT)16 праймера и случайного гексапраймера, а также свободную от РНКаз воду.

MMLV–RH – генетически модифицированная обратная транскриптаза (ревертаза) вируса лейкемии мышей (M-MuLV). Она отличается от обратной транскриптазы MMLV дикого типа структурой, каталитическими свойствами и температурным оптимумом активности. Фермент проявляет РНК- и ДНК-зависимую полимеразную активность, но лишен активности РНКазы Н. MMLV–RH проявляет оптимальную активность при +42°С (активна до +50°С). Фермент способен синтезировать первую цепь кДНК длиной до 10 т.н. и включать модифицированные основания.

Кроме обратной транскриптазы, набор содержит два типа буфера на основе KCl и (NH4)2SO4, оптимизированные для проведения эффективной реакции обратной транскрипции с любых матриц РНК, в том числе содержащих участки повышенной сложности (сильно структурированные или GC-богатые).

Олиго(dT)16 праймер и случайный гексапраймер позволяют более узконаправленно подходить к обратной транскрипции интересующих типов или участков РНК. Случайный гексапраймер неспецифически связывается с РНК-матрицей и используется для синтеза кДНК со всех типов РНК в составе суммарной РНК. Олиго(dT)16 праймер селективно отжигается на полиадениновых последовательностях РНК, обеспечивая синтез кДНК только с мРНК, содержащих поли(А)-3’-конец. Также можно использовать специфичные праймеры для синтеза определённой последовательности.

Состав набора

Компонент

Кат. #

1967.0050

1959.0250

MMLV-RH ревертаза, 100 ед. акт./ мкл*

1 × 50 мкл (5000 ед.акт.)

2 × 250 мкл (25000 ед.акт.)

5× ОТ-буфер (KCl)

1 × 220 мкл

3 × 400 мкл

5× ОТ-буфер ((NH4)2SO4)

1 × 220 мкл

3 × 400 мкл

20× смесь dNTP (10 мМ каждого)

1 × 120 мкл

2 × 300 мкл

Дитиотреитол

1 × 110 мкл

2 × 260 мкл

Случайный гексапраймер, 20 мкМ

1 × 50 мкл

1 × 260 мкл

Олиго(dT) праймер, 20 мкМ

1 × 50 мкл

1 × 260 мкл

Вода, обработанная ДЭПК

3 × 600 мкл

5 × 1.8 мл

* За единицу активности принимали количество фермента, катализирующее включение 1 нмоль dTMP в кислотонерастворимый продукт за 10 мин при +37 °С.

Источник
Фермент получен из рекомбинантного штамма Е. coli, содержащего делеционный вариант гена обратной транскриптазы MMLV.

Буфер для хранения:
50 мМ Трис-HCl, pH 8.0 (при +25°C), 100 мМ NaCl, 1 мМ ЭДТА, 5 мМ дитиотреитол, 50 % (v/v) глицерин и 0.1 % (v/v) NP-40.

5× ОТ-буфер (KCl):
250 мM Трис-НCl, рН 8.3 (при +25°C), 250 мM KCl, 20 мМ MgCl2, стабилизаторы.

5× ОТ-буфер ((NH4)2SO4):
250 мM Трис-НCl, рН 8.5 (при +25°C), 100 мM (NH4)2SO4, 20 мМ MgCl2, стабилизаторы.

Область применения:
  • Синтез первой цепи кДНК для ОТ-ПЦР и ОТ-ПЦР в режиме реального времени.
  • Синтез кДНК для клонирования.
  • Получение меченых кДНК-зондов для микрочипов (microarray).
  • Мечение ДНК.
  • Анализ РНК с помощью праймер-экстеншн.
Хранение и транспортировка:
при -20°С; не более 50 циклов замораживания-размораживания.

Индекс риска

R20/21/22Опасно при вдыхании, попадании на кожу и проглатывании
R36/37/38Раздражает глаза, органы дыхания и кожу
Индекс риска (R)
20/21/22-36/37/38

Индекс безопасности

S36Наденьте соответствующую защитную одежду
S26В случае попадания в глаза немедленно промыть глаза большим количеством воды и обратиться за медицинской помощью
S36/37Надеть соответствующую защитную одежду и перчатки
Индекс безопасности (S)
36-26-36/37
  • Шприц-пробирки RiTube для стабилизации и хранения внутриклеточной мРНК в образцах крови и костного мозга, 25 шт.
3878.0010
3878.0010
10000 e.a.
хранение -20°C
10 200, руб.
10 200, руб. RUB
3878.0050
50000 e.a.
хранение -20°C
По запросу
По запросу
3878.0100
100000 e.a.
хранение -20°C
По запросу
По запросу

Транскриптаза обратная Smart RT проявляет максимальную активность при температуре 35-42 °С, катализирует матричный синтез ДНК используя в качестве матрицы РНК, при этом не обладает активностью РНКазы Н и 3' → 5' экзонуклеазной активностью. Для проведения реакции необходимо наличие random-праймера.

Особенности Транскриптазы обратной Smart RT

  • Оптимальная температура, °С - 35-42;
  • отсутствие активности РНКазы Н;
  • отсутствие 3' → 5' экзонуклеазной активности.

Области применения транскриптазы обратной Smart RT

  • Синтез кДНК по матрице РНК;
  • ОТ-ПЦР;
  • мультиплексная ОТ-ПЦР с детекцией в режиме реального времени.
Комплект поставки: транскриптаза обратная Smart RT, 10х буфер для проведения реакции, 100 мМ DTT.

Условия хранения: -20 °С.

Индекс риска

R20/21/22Опасно при вдыхании, попадании на кожу и проглатывании
R36/37/38Раздражает глаза, органы дыхания и кожу
Индекс риска (R)
20/21/22-36/37/38

Индекс безопасности

S36Наденьте соответствующую защитную одежду
S26В случае попадания в глаза немедленно промыть глаза большим количеством воды и обратиться за медицинской помощью
S36/37Надеть соответствующую защитную одежду и перчатки
Индекс безопасности (S)
36-26-36/37
  • Шприц-пробирки RiTube для стабилизации и хранения внутриклеточной мРНК в образцах крови и костного мозга, 25 шт.
3879.0010
3879.0010
10 000 e.a.
хранение -20°C
10 800, руб.
10 800, руб. RUB
3879.0050
50 000 e.a.
хранение -20°C
По запросу
По запросу
3879.0100
100 000 e.a.
хранение -20°C
63 300, руб.
63 300, руб. RUB

Транскриптаза обратная термостабильная Smart RTT проявляет максимальную активность при температуре 55 °С, катализирует матричный синтез ДНК используя в качестве матрицы РНК, при этом не обладает активностью РНКазы Н и 3' → 5' экзонуклеазной активностью. Для проведения реакции необходимо наличие random-праймера

Особенности транскриптазы обратной термостабильной Smart RTT

  • Оптимальная температура, °С – 55;
  • проведение обратной транскрипции с образцов РНК со сложной вторичной структурой;
  • отсутствие активности РНКазы Н;
  • отсутствие 3' → 5' экзонуклеазной активности.

Области применения транскриптазы обратной термостабильной Smart RTT

  • Обратная транскрипция;
  • ОТ-ПЦР;
  • мультиплексная ОТ-ПЦР с детекцией в режиме реального времени.
Комплект поставки: транскриптаза обратная термостабильная Smart RTT, 10х буфер для проведения реакции, 100 мМ DTT.

Условия хранения: -20 °С.

Индекс риска

R20/21/22Опасно при вдыхании, попадании на кожу и проглатывании
R36/37/38Раздражает глаза, органы дыхания и кожу
Индекс риска (R)
20/21/22-36/37/38

Индекс безопасности

S36Наденьте соответствующую защитную одежду
S26В случае попадания в глаза немедленно промыть глаза большим количеством воды и обратиться за медицинской помощью
S36/37Надеть соответствующую защитную одежду и перчатки
Индекс безопасности (S)
36-26-36/37
  • Шприц-пробирки RiTube для стабилизации и хранения внутриклеточной мРНК в образцах крови и костного мозга, 25 шт.
3901.0100
3901.0100
100 реакций по 20 мкл
хранение -20°C
5 600, руб.
5 600, руб. RUB
3901.0600
600 реакций по 20 мкл
хранение -20°C
По запросу
По запросу
3901.1200
1200 реакций по 20 мкл
хранение -20°C
29 000, руб.
29 000, руб. RUB

Экстра-микс для ОТ-кПЦР Real-RT-PCR (5x) – это готовая к использованию 5-кратная смесь предназначенная для анализа молекул РНК с помощью одностадийной ОТ-ПЦР. Экстра-микс Real-RT-PCR (5x) содержит смесь RTaq ДНК-полимеразы с горячим стартом, термостабильной обратной транскриптазы Smart RTT, dATP, dCTP, dGTP, dTTP и оптимизированного буферного раствора, содержащего MgCl2. Обратная транскриптаза Smart RTT обладает термостабильностью, отсутствием активности РНКазы Н и позволяет работать с РНК имеющей сложную вторичную структуру, синтезируя более протяженную кДНК, увеличивает специфичность и количество получаемой ДНК. Для проведения реакции ОТ-ПЦР в экстра-микс необходимо добавить РНК-матрицу, праймеры и при необходимости флуоресцентно-меченные зонды или интеркалирующий краситель. Оптимально подобранное соотношение ферментов и буферного раствора позволяют проводить мультиплексный анализ в одной пробирке.

Основные характеристики экстра-микса для ОТ-кПЦР Real-RT-PCR (5x)

  • Простое и удобное проведение одностадийной ОТ-ПЦР;
  • проведение обратной транскрипции по матрице РНК имеющей сложную вторичную структуру;
  • пониженный риск контаминации за счет сокращения манипуляций при подготовке реакции;
  • возможность проведения мультиплексной реакции в одной пробирке;
  • удобство использования при анализе большого количества образцов.

Применение экстра-микса для ОТ-кПЦР Real-RT-PCR (5x)

  • Одностадийная ОТ-ПЦР в реальном времени;
  • мультиплексная одностадийная ОТ-ПЦР в реальном времени;
  • анализ экспрессии генов;
  • получение ПЦР-продуктов с возможностью клонирования в Т-вектора.

Комплект поставки экстра-микс для ОТ-кПЦР Real-RT-PCR (5x).

Условия хранения: -20 °С.

Индекс риска

R20/21/22Опасно при вдыхании, попадании на кожу и проглатывании
R36/37/38Раздражает глаза, органы дыхания и кожу
Индекс риска (R)
20/21/22-36/37/38

Индекс безопасности

S36Наденьте соответствующую защитную одежду
S26В случае попадания в глаза немедленно промыть глаза большим количеством воды и обратиться за медицинской помощью
S36/37Надеть соответствующую защитную одежду и перчатки
Индекс безопасности (S)
36-26-36/37
  • Шприц-пробирки RiTube для стабилизации и хранения внутриклеточной мРНК в образцах крови и костного мозга, 25 шт.
1958.0500
1958.0500
500 единиц
транспортировка -20°C
3 096, руб.
3 096, руб. RUB
1958.2250
2250 единиц
транспортировка -20°C
12 374, руб.
12 374, руб. RUB
Набор реактивов для ПЦР с Taq-полимеразой Hot Start (+MgCl2) содержит рекомбинантную HS-Taq ДНК-полимеразу и растворы всех необходимых компонентов для проведения стандартной ПЦР c “горячим” стартом (за исключением матрицы ДНК и праймеров). ПЦР-буфер, входящий в состав набора, уже содержит MgCl2 в концентрации 10 мМ, достаточной для постановки большинства рутинных ПЦР.

HS-Taq ДНК-полимераза представляет собой рекомбинантную Taq ДНК-полимеразу, инактивированную специфическими моноклональными антителами. HS-Taq ДНК-полимераза не активна при температуре до +70 °С. Это позволяет избежать образования неспецифических продуктов и праймер-димеров при низкой температуре на стадии смешивания компонентов ПЦР-смеси. Активация осуществляется на первом цикле ПЦР путём инкубации в течение 5 мин при +95 °С. Рекомбинантная Taq ДНК-полимераза обладает 5´-3´ ДНК-зависимой полимеразной активностью и 5’-3’ экзонуклеазной активностью нативной Taq ДНК-полимеразы из Thermus aquaticus. Скорость продвижения Taq ДНК-полимеразы зависит от сложности ДНК-матрицы и составляет примерно 1 т.п.н./мин. HS-Taq ДНК-полимераза идеально подходит для стандартной ПЦР с матрицы до 5 т.п.н.; она обладает способностью присоединять адениновый остаток к 3’-концу синтезируемой цепи, поэтому продукты ПЦР могут использоваться для ТА-клонирования.

5× ПЦР-буфер (+MgCl2) оптимизирован для проведения эффективной и воспроизводимой ПЦР. В состав буфера входят MgCl2 (10 мМ) и добавки, повышающие время полужизни и процессивность HS-Taq ДНК-полимеразы за счет повышения её стабильности во время ПЦР. Буфер химически стабилен, инертен и не меняет оптимальной температуры отжига праймеров или характеристики плавления матрицы. Входящие в набор 50 мМ раствор MgCl2 и 50× смесь dNTP позволяют легко оптимизировать реакционную смесь под конкретную систему «матрица-праймеры», а 6× Буфер для нанесения на гель облегчает пробоподготовку для электрофореза ПЦР-продуктов и контроль над ходом электрофореза.

Состав набора

Кат. # HS-Taq DNA-полимераза, 5 ед. акт./мкл* 5× ПЦР буфер (+MgCl2) 50 мМ MgCl2 50× смесь dNTP (10 мМ каждого) 6×буфер для нанесения на гель Кол-во, ед. акт.
1958.0500 1 × 100 мкл 2 × 1.5 мл 1 × 1 мл 2 × 200 мкл 1 × 1.5 мл 500
1958.2250 3 × 150 мкл 8 × 1.5 мл 2 × 1 мл 4 × 400 мкл 3 × 1.5 мл 2250

* За единицу активности принимали количество фермента, катализирующее включение 10 нмоль dNTP в кислотонерастворимый продукт за 30 мин при 74 °С. Условия реакции: 50 мМ Трис-HCl, pH 9.0 (при 25 °С), 50 мМ NaCl, 10 мМ MgCl2, 200 мM dATP, 200 мM dCTP, 200 мM dGTP, 50 мM [3H] dTTP, 0,25 мг/мл активированной ДНК из тимуса теленка.

Буфер для хранения HS-Taq ДНК-полимеразы:
50 мМ Трис-HCl, pH 8.0 (при 25 °С), 50 мМ NaCl, 0.1 мМ ЭДТА, 1мМ дитиотреитол, 50% (v/v) глицерин и 1% (v/v) Тритон Х-100.

5× ПЦР буфер (+MgCl2):
50 мM Трис-НCl, рН 8.5 (при 25 °С), 250 мM KCl, 10 мМ MgCl2, 0.5% (v/v) Tween 20, стабилизаторы Taq ДНК-полимеразы.

Область применения:
ПЦР с “горячим” стартом.
Высокопроизводительная ПЦР.
Обычная ПЦР с высокой воспроизводимостью.
Наработка ПЦР-продуктов для ТА клонирования.
Вторая стадия ОТ-ПЦР.

Ограничения к использованию:
  • Не рекомендуется использовать для ампликонов длиной свыше 5 тыс. п.н.
Ингибирование и инактивация
Ингибиторы: ионные детергенты (дезоксихолат натрия, саркозил и додецилсульфат натрия (SDS) в концентрациях выше, чем 0,06, 0,02 и 0,01%, соответственно).
Инактивируется экстракцией смесью фенол/хлороформ.

Хранение и транспортировка: при -20 °С; не более 50 циклов замораживания-размораживания.

Срок хранения: при соблюдении условий хранения и транспортировки 1 год.

Индекс риска

R20/21/22Опасно при вдыхании, попадании на кожу и проглатывании
R36/37/38Раздражает глаза, органы дыхания и кожу
Индекс риска (R)
20/21/22-36/37/38

Индекс безопасности

S36Наденьте соответствующую защитную одежду
S26В случае попадания в глаза немедленно промыть глаза большим количеством воды и обратиться за медицинской помощью
S36/37Надеть соответствующую защитную одежду и перчатки
Индекс безопасности (S)
36-26-36/37
  • Шприц-пробирки RiTube для стабилизации и хранения внутриклеточной мРНК в образцах крови и костного мозга, 25 шт.
3902.0500
3902.0500
500 e.a.
хранение -20°C
5 000, руб.
5 000, руб. RUB
3902.2500
2500 e.a.
хранение -20°C
12 515, руб.
12 515, руб. RUB
3902.5000
5000 e.a.
хранение -20°C
По запросу
По запросу

ДНК-полимераза RTaq является модифицированной версией термостабильной Taq ДНК-полимеразы обратимо химически инактивированной для реализации технологии «горячего старта», позволяющей при комнатной температуре проводить подготовку реакции амплификации и исключающей образование неспецифических ПЦР-продуктов и димеров-праймеров. Активация фермента происходит в течение первой денатурации, дополнительный нагрев не требуется. RTaq ДНК-полимераза специально разработана для проведения моно- и мультиплексных ПЦР и ОТ-ПЦР с детекцией в режиме реального времени.

Особенности RTaq ДНК-полимеразы

  • Повышенная специфичность синтеза ПЦР-продуктов;
  • возможность подготовки реакционных смесей при комнатной температуре;
  • высокая точность синтеза: в 15 раза выше по сравнению с Taq ДНК-полимеразой;
  • умеренная устойчивость к ингибиторам;
  • получение ПЦР-продуктов с 3' dA-концами;
  • обладает 5' → 3' полимеразной активностью;
  • обладает 5' → 3' экзонуклеазной активностью.
Области применения RTaq ДНК-полимеразы
  • Моно- и мультиплексная ПЦР с детекцией в режиме реального времени;
  • ОТ-ПЦР с детекцией в режиме реального времени.
Комплект поставки: RTaq ДНК-полимераза; 10х буфер для проведения реакции, содержащий 20 мМ MgCl₂.

Условия хранения: -20 °С.

Индекс риска

R20/21/22Опасно при вдыхании, попадании на кожу и проглатывании
R36/37/38Раздражает глаза, органы дыхания и кожу
Индекс риска (R)
20/21/22-36/37/38

Индекс безопасности

S36Наденьте соответствующую защитную одежду
S26В случае попадания в глаза немедленно промыть глаза большим количеством воды и обратиться за медицинской помощью
S36/37Надеть соответствующую защитную одежду и перчатки
Индекс безопасности (S)
36-26-36/37
  • Шприц-пробирки RiTube для стабилизации и хранения внутриклеточной мРНК в образцах крови и костного мозга, 25 шт.
3886.0100
3886.0100
100 e.a.
хранение -20°C
11 900, руб.
11 900, руб. RUB
3886.0400
400 e.a.
хранение -20°C
28 286, руб.
28 286, руб. RUB

ДНК-полимераза Super Fusion – это высокоточная ДНК-полимераза c горячим стартом состоит из ДНК-связывающего домена Sso7d из Saccharolobus solfataricus слитого с Pfu ДНК-полимеразой Pyrococcus furiosus и благодаря этому амплифицирует ПЦР-продукты с очень высокой скоростью и точностью, в 15 раз точнее, чем Taq ДНК полимераза, обладает устойчивостью к ингибиторам и может быть использована для синтеза сложных, GC-богатых и длинных ампликонов длиной до 30 тыс. п.н.

Технологии горячего старта реализованного в полимеразе дает возможность постановки ПЦР-реакции при комнатной температуре и исключает деградацию праймеров и матрицы во время подготовки ПЦР, а также уменьшает вероятность образования неспецифических ПЦР-продуктов.

ДНК-полимераза Super Fusion незаменима для генно-инженерных приложений в которых последовательность ПЦР-продуктов должна полностью соответствовать матрице.

Особенности ДНК-полимеразы Super Fusion

  • Высокая точность синтеза: в 15 раза выше по сравнению сTaq ДНК-полимеразой;
  • амплифицикация фрагментов длиной до 30 тыс. п.н.;
  • амплифицикация сложных и GC-богатых участков ДНК;
  • возможность подготовки реакционных смесей при комнатной температуре;
  • повышенная специфичность синтеза, отсутствие деградации праймеров и матрицы в процессе подготовки ПЦР;
  • высокая скорость синтеза – 1 тыс. п.н. за 15-30 секунд;
  • устойчивость к ингибиторам;
  • обладает 5' → 3' полимеразной активностью;
  • обладает 3' → 5' экзонуклеазной активностью;
  • очищена от плазмидной и геномной ДНК E.coli и подходит для молекулярно-биологических работ с E.coli.
Области применения ДНК-полимераза Super Fusion
  • Высокоточная ПЦР;
  • амплификация длинных фрагментов ДНК: до 30 тыс. п.о.;
  • клонирование;
  • синтез ДНК для секвенирования;
  • амплификация сложных (GC-богатых) последовательностей;
  • сайт-специфический мутагенез;
  • высокопроизводительная ПЦР;
  • мультиплексная ПЦР;
  • аналих на основе микрочипов.
Комплект поставки: ДНК-полимераза Super Fusion; 5х буфер для проведения реакции, содержащий 7,5 мМ MgSO₄.

Условия хранения: -20 °С.

Индекс риска

R20/21/22Опасно при вдыхании, попадании на кожу и проглатывании
R36/37/38Раздражает глаза, органы дыхания и кожу
Индекс риска (R)
20/21/22-36/37/38

Индекс безопасности

S36Наденьте соответствующую защитную одежду
S26В случае попадания в глаза немедленно промыть глаза большим количеством воды и обратиться за медицинской помощью
S36/37Надеть соответствующую защитную одежду и перчатки
Индекс безопасности (S)
36-26-36/37
  • Шприц-пробирки RiTube для стабилизации и хранения внутриклеточной мРНК в образцах крови и костного мозга, 25 шт.
3876.2000
3876.2000
2000 е.а.
хранение -20°C
14 500, руб.
14 500, руб. RUB
3876.10000
10000 е.а.
хранение -20°C
45 086, руб.
45 086, руб. RUB
3876.20000
20000 е.а.
хранение -20°C
70 800, руб.
70 800, руб. RUB

ДНК-полимераза Lamp выделена из штамма E.coli, несущего модифицированный клонированный ген большого фрагмента ДНК-полимеразы I из Bacillus stearothermophilus. Фермент обладает 5’- 3’ сильной вытесняющей активностью, и при этом не обладает 5’-3’ и 3’-5’ экзонуклеазной активностью, что позволяет использовать его для проведения изотермальной амплификации, в том числе петлевой изотермальной амплификации (LAMP – Loop-Mediated Isothermal Amplification).

Температурный оптимум фермента 60-65 °С. Фермент также обладает обратно-транскриптазной активноcтью, что позволяет использовать его для проведения обратной транскрипции и ПЦР (RT-LAMP – Reverse Transcription- Loop-Mediated Isothermal Amplification).

Особенности ДНК-полимеразы Lamp

  • Оптимизирована для проведения LAMP – петлевой изотермальной амплификации;
  • предназначена для изотермальной амплификации ДНК и РНК, в том числе в реальном времени;
  • обладает высокой процессивностью;
  • обладает высокой устойчивостью к влиянию ингибиторов.

Области применения

  • Изотермальная ПЦР;
  • изотермальная ПЦР в реальном времени;
  • полногеномное секвенирование.

Комплект поставки ДНК-полимераза Lamp; 10х буфер для проведения реакции; 100 мМ MgCl₂.

Условия хранения: -20 °С.

Индекс риска

R20/21/22Опасно при вдыхании, попадании на кожу и проглатывании
R36/37/38Раздражает глаза, органы дыхания и кожу
Индекс риска (R)
20/21/22-36/37/38

Индекс безопасности

S36Наденьте соответствующую защитную одежду
S26В случае попадания в глаза немедленно промыть глаза большим количеством воды и обратиться за медицинской помощью
S36/37Надеть соответствующую защитную одежду и перчатки
Индекс безопасности (S)
36-26-36/37
  • Шприц-пробирки RiTube для стабилизации и хранения внутриклеточной мРНК в образцах крови и костного мозга, 25 шт.
932400.1 gm
932400.1 gm
1 г
хранение +5.....+30 C, транспортировка +15...+30°C
1 322, руб.
16,= USD
932400.5 gm
5 г
5 120, руб.
62,= USD

Этидий бромистый — краситель для визуализации нуклеиновых кислот в акриламидном и агарозном геле. Легко флуоресцирует красновато-коричневым цветом при воздействии ультрафиолета, флуоресценция бромистого этидия увеличивается в 21 раз при связывании с двухцепочечной РНК и в 25 раз при связывании с двухцепочечной ДНК.



CAS-No. 1239-45-8
Синоним 3,8-диамино-5-этил-6-фенилфенантридиния бромид; бромид гомидия/Homidium bromide; EtBr
Химическая формула C₂₁H₂₀BrN₃
Молекулярный вес, г/моль 394.31
Содержание основного вещества, % 95
Внешний вид Кристаллы или порошок, цвет от красного до темно фиолетовый
Растворимость Растворим в воде
Тест на соответствие Подходит для всех процедур выделения ДНК.
Условия хранения, °С Ниже 30

Индекс риска

R20/21/22Опасно при вдыхании, попадании на кожу и проглатывании
R36/37/38Раздражает глаза, органы дыхания и кожу
Индекс риска (R)
20/21/22-36/37/38

Индекс безопасности

S36Наденьте соответствующую защитную одежду
S26В случае попадания в глаза немедленно промыть глаза большим количеством воды и обратиться за медицинской помощью
S36/37Надеть соответствующую защитную одежду и перчатки
Индекс безопасности (S)
36-26-36/37
  • Этидиум бромид, 95 %, для молекулярной биологии, CDH

См. также:

Бензаза (Бензонуклеаза)
Дезоксинуклеотидтрифосфаты
ДНК-амплификаторы "в реальном времени"
Классические ДНК-амплификаторы
Молекулярное клонирование, модификация нуклеиновых кислот
Наборы для количественного определения ДНК и РНК
Нуклеозидтрифосфаты
Средства деконтаминации
Станции выделения нуклеиновых кислот



Ниже вы можете задать вопрос или оставить запрос в свободной форме:

Раскрыть анкету для отправки запроса

Ваш заказ будет обработан
в ближайшее время.
Мы пришлем уведомление, как только все будет готово. Спасибо!